Julia Maria Maccari1
,
Johnatas Adelir-Alves2,
Natalie Villar Freret-Meurer3 and
Pedro Carlos Pinheiro4
PDF: EN XML: EN | Cite this article
Abstract
Babitonga Bay, the largest estuary of Santa Catarina state, Brazil, is under intense environmental degradation, and the ecosystems (e.g., mangrove) and biodiversity (e.g., fish) are at risk. The longsnout seahorse Hippocampus reidi is avulnerablefish species found along the estuary, and this study aimed to compare the density and habitat use of longsnout seahorse in two different ecosystem structures along the Linguado Channel (southern mouth): one area with natural mangroves and another where mangroves were replaced by man-made structures. Data sampling was conducted biweekly for six months, from December 2021 to May 2022, during periods of ebb tide and low tide. Samples were collected by freediving along fixed transects, counting seahorses and recording pregnancy stage, behavior, and abiotic factors (salinity, temperature, precipitation, and pH). Salinity, temperature, precipitation and pH did not vary significantly over the months. Precipitation appeared to influence density in March. The results showed that both sampling areas had similarly low seahorse densities, but the sex ratio and number of pregnant males differed between the two sites. A male-biased sex ratio was observed throughout the study. Longsnout seahorses were frequently observed resting (anchored). These results offer valuable baseline data for future seahorse population assessments in Babitonga Bay.
Keywords: Conservation, Estuarine fish, Mangrove, Syngnathids, Threatened species.
A Baía Babitonga, o maior estuário do estado de Santa Catarina, sul do Brasil, enfrenta intensa degradação ambiental e os ecossistemas (e.g., manguezais) e a biodiversidade (e.g., peixes) estão em risco. O cavalo-marinho-de-focinho-longo Hippocampus reidi é uma espécie de peixe vulnerável encontrada ao longo do estuário. Este estudo visou comparar a densidade e o uso do habitat dessa espécie em duas estruturas ecossistêmicas distintas ao longo do Canal do Linguado (foz sul da baía): uma com manguezais naturais e outra onde os manguezais foram substituídos por estruturas artificiais. A coleta de dados ocorreu quinzenalmente durante seis meses, de dezembro de 2021 a maio de 2022, durante marés de vazante e baixa-mar. As amostras foram coletadas por mergulho livre ao longo de transectos fixos, registrando cavalos-marinhos, gestação, comportamento e fatores abióticos (salinidade, temperatura, precipitação e pH). A salinidade, temperatura, precipitação e pH não variaram significativamente. A precipitação pareceu influenciar a densidade em março. Os resultados indicam baixas e similares densidades nas duas áreas, diferentemente da proporção sexual e do número que machos grávidos, que diferiram. Observou-se um viés em relação a mais machos. Os cavalos-marinhos eram frequentemente registrados descansando (ancorados). Esses resultados fornecem uma base de dados útil para futuras avaliações da população de cavalos-marinhos-de-focinho-longo na Baía Babitonga.
Palavras-chave: Conservação, Espécies ameaçadas, Mangue, Peixe estuarino, Singnatídeos.
Introduction
The loss of habitats and biodiversity is directly related to urbanization and population growth (Worm et al., 2006; McDonald et al., 2020; Ren et al., 2023). Approximately 41% of the world’s population live near the coast, intensifying the pressure on the ecosystems, making them more susceptible to human actions (Whitfield, Elliot, 2002; UNDP, 2005).
Changes in coastal habitats have increased dramatically in recent years and around 72% of coastal environments on the Planet have been modified by anthropogenic actions (Lotze et al., 2006; Martínez et al., 2007). Estuaries are environments of great ecological, social, cultural, and economic importance, being the coastal environment most threatened by human actions (Kennish, 2002). Estuarine regions are nursery areas for many species, particularly fish, which rely on these environments for part or all of their life cycles (Sales et al., 2016).
Seahorses are among the charismatic estuarine inhabitants and are considered flagship species in the conservation of coastal and marine ecosystems. They can be considered key species, playing a fundamental role in regulating the trophic chain (Dias, Rosa, 2003; Rosa et al., 2007; Cohen et al., 2017). These animals have biological characteristics such as monogamy, low fecundity, and viviparity, which increase their vulnerability in the environment (Dias, Rosa, 2003; Foster, Vincent, 2004; Mai, Rosa, 2009). The vertical body orientation and the presence of the prehensile tail give seahorses a cryptic and benthic habit, making them habitat-dependent (Junior et al., 2021).
In Brazil, seahorses occur in shallow areas of coastal ecosystems, such as mangroves and reef environments. The longsnout seahorse Hippocampus reidi Ginsburg, 1933 is the most common in Brazil (Rosa et al., 2007; Lourie et al., 2016; Freret-Meurer et al., 2018a; Carmo et al., 2022). The species is classified as near threatened globally (Oliveira, Pollom, 2017) and as vulnerableon the Brazilian list of threatened species (Ordinance MMA No148, of June 7, 2022). This species faces several threats, including pollution, habitat loss, and capture for the aquarium trade (Payne et al., 1998; Vincent et al., 2011; Pollom et al., 2021), although capture and sale are prohibited in Brazil (Ordinance MMA No 445, of December 17, 2014). It is essential to expand our understanding of the biological, ecological, and behavioral knowledge aspects of H. reidi, especially particularly for populations that occur in estuarine systems with high human density (Garcia et al., 2005; Ternes et al., 2023).
We highlight that there is a gap of knowledge about the longsnout seahorse populations on southern coast of Brazil. There are few researches on H. reidi populations in wild on Santa Catarina coast and they are limited to studies like Santos and Souza-Conceição (2008), who collected individuals from a mariculture facility and described biological aspects of the species.
Therefore, the present study aimed to provide baseline data comparing the population structure and behavioral patterns of the longsnout seahorse (Hippocampus reidi) in an anthropized area and a mangrove remnants area within the Linguado Channel, Babitonga Bay, southern Brazil. Additionally, it seeks to describe and relate the environmental traits to the observed patterns.
Material and methods
Study area. The study was carried out in the Linguado Channel, north coast of Santa Catarina State, South Brazil (26°27’04”S 48°35’05”W). The Linguado Channel is the southern mouth of Babitonga Bay, which was completely blocked, from 1935, for the passage of the railway. Since then, the channel has no longer been connected to and influenced by the Babitonga Bay estuarine complex, presenting characteristics of an estuarine lagoon, with restricted communication with the sea (Suguio, 1992).
The Linguado Channel has an area of approximately 1,250 hectares, is ~20 km long, and separates two cities, São Francisco do Sul (SFS) and Balneário Barra do Sul (BBS). Along its length, there are remnants of dune forest and mangroves, already significantly altered by human occupation (ICMBio, 2018; Kilca et al., 2019). Tourism and artisanal fishing are the main economic activities in the estuary (Gerhardinger et al., 2021).
Data were collected in two sampling areas on opposite banks of the Linguado Channel (Fig. 1), separated by approximately 80 meters. The area called “mangrove” is more conserved, still having a mangrove forest composed mainly of Avicennia schaueriana Stapf & Leechm. ex Moldenke, Laguncularia racemosa (L.) C. F. Gaertn, and Rhizophora mangle L. (Kilca et al., 2019), providing to seahorse holdfast structures such as branches, leaves, and roots throughout. Additionally, algae (e.g., Chlorophyta and Rhodophyta) and benthic animals (e.g., tubeworms, ascidians, bryozoans, etc.) were also observed.
FIGURE 1| Location of the study area for Hippocampus reidi during December 2021 and May 2022 in the Linguado Channel, Babitonga Bay, southern Brazil. A–B. Linguado Channel, Babitonga Bay, North Coast of Santa Catarina State (SC), South Brazil. C. Sampling sites (white circles) in the city (S1C, S2C and S3C) and mangrove (S1M, S2M and S3M) areas.
In the area referred to as ‘city’, the original vegetation was removed for human constructions. Directly exposed to domestic and recreational activities, this area had artificial structures, like nets, ropes, and debris throughout. Some algae and animals were also observed at the area, mainly annelids, arthropods, and mollusks.
Sampling sites. Data collection was carried out biweekly, for six months, between December 2021 and May 2022, during the ebb tide, leading into low tide. Environmental conditions (temperature, pH and salinity) were measured using the multiparameter HI98194 (Hanna Instruments®). Precipitation data was provided by Epagri/Ciram. The seahorse population data were collected by underwater visual censuses (snorkeling) conducted by two researchers, in fixed linear transects (20 x 2 m), with three replicates in each area, at a maximum depth of one meter (adapted from Freret-Meurer et al., 2018a).
The longsnout seahorses was identified according to Lourie et al. (2004) and Menezes, Figueiredo (1980). The number of individuals were recorded, as well as the sex, according to the presence or absence of the breeding pouch (Lourie et al., 2004). Behavioral data (swimming, resting attached or resting on the bottom) were accessed by the scan method (Altmann, 1974) and holdfast use was described (e.g., branch, root, fishing net, cable, etc.) and qualified whether natural or artificial.
Statistical analyses. Descriptive statistics were reported by percentage and mean ± standard deviation. The abiotic data were analyzed using monthly averages through Non-Metric Multidimensional Scaling (NMDS). Frequency of occurrence has been calculated for holdfast use and for each area (mangrove and city). Seahorse density and pregnant males density were compared between areas by using the Wilcoxon test, considering that data did not follow the assumptions of normality and homoscedasticity. The relation between the environmental conditions and the longsnout seahorse density was tested by the Spearman correlation rank and the Canonical Analyses. Sex ratio and sex ratio between areas were analyzed by Chi-square test. All the analyses were performed in Past software.
Results
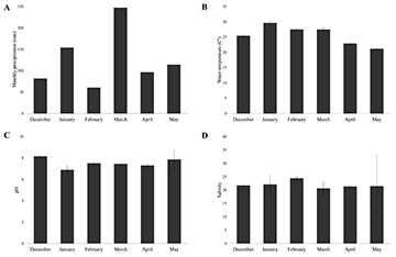
Physico-chemical parameters. The precipitation varied between 60.8mm and 247.4mm (x̅=119.305mm) (Fig. 2A), water temperature fluctuating between 20.9°C and 30.4°C (x̅=25.7°C) (Fig. 2B), the pH of water values ranging between 6.52 and 8.73 (x̅=7.52) (Fig. 2C) and salinity of water from 14.50 to 33.00 (x̅=25.60) (Fig. 2D). The NMDS suggests that abiotic data are similar across months, however, May seems to be the most dissimilar, suggesting the beginning of seasonal transition (Fig. 3).
FIGURE 2| Monthly average values of abiotic parameters in the Linguado Channel, Babitonga Bay, southern Brazil, from December 2021 to May 2022. A. Precipitation (mm); B. Water temperature (Cº); C. pH and D. Salinity.
FIGURE 3| Non-metric multidimensional scaling (NMDS) representation of abiotic data from Linguado Channel, Babitonga Bay, southern Brazil, for December 2021 to May 2022. Symbols indicate sampling months.
Longsnout seahorse density. A total of twenty-three longsnout seahorses were recorded in the study. They were equally observed at the mangrove area (n = 12; 52.17%) and at the city area (n = 11; 47.83%). There was no significant difference (p = 0.0596; W = 22) of longsnout seahorse density between sample areas, mangrove (x̅ = 0.09±0.03 ind.m-2) and city (x̅= 0.06±0,04 ind.m-2). Although no significance has been statistically detected, there was a slight tendency for larger densities in mangrove areas from January to March (Fig. 4). There was no correlation between the longsnout seahorse density and the environmental trends (p = 0.827; r2=0.31; df = 2) and seahorses had a sampling frequency of occurrence of 88.0% at the mangrove area and 62.5% at the city area.
FIGURE 4| Density (mean ± standard deviation) of longsnout seahorses between mangrove and city sampling areas in the Linguado Channel, Babitonga Bay, southern Brazil, from December 2021 to May 2022.
Sex ratio was male biased in most of the samples, at both mangrove and city areas (Fig. 5), presenting a significant difference between both sexes at both sites (Mangrove: p = 0.001; Χ2 = 10.22; gl = 1; City: p < 0.001; Χ2 = 18.48; gl = 1). There was no difference in sex ratio between both areas (p = 0.317; Χ2 = 1.001; gl = 1). Considering male pregnancy, there was no evidence of a significant difference in pregnant male density between both studied areas (p > 0.999; W = 0.001) (Fig. 6).
FIGURE 5| Sex ratio of longsnout seahorses in the Linguado Channel, Babitonga Bay, southern Brazil, from December 2021 to May 2022. A. Mangrove area and B. City area.
FIGURE 6| Density of pregnant male longsnout seahorsesin the mangrove and city areas in the Linguado Channel, Babitonga Bay, southern Brazil, from December 2021 to May 2022.
The canonical correspondence analysis (CCA) did not reveal any clear pattern of data distribution (Fig. 7). The first two axes together explained 94.0% of the data variation (axis 1 75.0% and axis 2 19.0%). The figure suggests a degree of relationship between seahorse density and the pH in December, January and February. Precipitation was mainly correlated with March and appears to negatively influence seahorse density.
FIGURE 7| Canonical correspondence analysis of longsnout seahorse density and abiotic parameters values per month in the Linguado Channel, Babitonga Bay, southern Brazil, from December 2021 to May 2022.
Behavior and holdfast use. Most of the longsnout seahorses were resting attached (91.3%), while one was resting on the bottom (4.3%), and one was swimming (4.3%). However, comparing the behavior between both areas, longsnout seahorses from mangrove area had a broader behavior repertoire (Fig. 8). Holdfast use was different between sampling areas, in which seahorses observed in the city area were grasping metal fences and ropes, while seahorses in the mangrove area were grasping mangrove branches and branches on the bottom (Fig. 9).
FIGURE 8| Behavioral observations of longsnout seahorsesin the mangrove and city areas in the Linguado Channel, Babitonga Bay, southern Brazil, from December 2021 to May 2022.
FIGURE 9| Holdfast utilization of longsnout seahorses in mangrove (light grey) and city (dark grey) areas in the Linguado Channel, Babitonga Bay, southern Brazil, from December 2021 to May 2022. Holdfasts types include mangrove branch (Mb), branch on the bottom (Bb), metal fence (Mf) and rope (Ro).
Discussion
The present study shows a consistent population of seahorses in the Linguado Channel Estuary during the analyzed period. The results indicated that the population structure of these animals did not have a direct relationship with the analyzed abiotic factors. However, this show be carefully suggested, considering that the sampled period showed stability in the variables and a longer study also analyzing the winter could possibly indicate a clearer correlation. Despite this sampling issue, other studies also show the absence of a direct correlation with variables, such as the study conducted in the Pacoti Estuary, Northeast of Brazil (Valentim et al., 2023).
Among the analyzed abiotic variables, no significant variations were observed in temperature, salinity, or pH. The pH remained basic with an average of 7.52, corroborating Freret-Meurer (2010) in a stable pattern adequate for the species’ metabolic activities. The sampling period covered spring and summer seasons with warmer temperatures and autumn with cooler temperatures, coinciding with the highest average temperature found (29.65 °C) in January, summer, and the lowest (21.13 °C) in May, autumn. In seahorse culturing, the temperature for the longsnout seahorses is ideal between 26–28 °C (Tseng et al., 2020), and the results found are within this range, consistent with those presented by Freret-Meurer (2010) when verifying the influence of abiotic factors on the species’ distribution in the State of Rio de Janeiro. Nevertheless, this study did not obtain data in the coldest months of the year, which could have highlighted some biological limitations of the target population, as already indicated for May in the NMDS analysis performed.
Regarding salinity, the low values observed in certain sites are due to local rains combined with freshwater input from the Perequê River, which flows into the study area and intensifies during ebb tides when sampling was conducted. This freshwater influence causes variations in estuarine salinity, to which seahorse species are adapted (Foster, Vincent, 2004). Hora et al. (2016) reported low mortality for H. reidi when exposed to salinities between five and 35 under laboratory conditions, exhibiting better growth in intermediate salinities like the average of 20.52, found in the present study.
Fluctuations in physicochemical parameters, especially temperature and salinity, are common in tropical estuaries (Foster, Vincent, 2004). The seahorse H. reidi is found in a wide range of environments along the Brazilian coast, and according to studies like Silveira (2005) Oliveira, Freret-Meurer (2012) and Freret-Meurer et al.(2018b), it may not show a relationship with physical and chemical water parameters. Carmo et al. (2022) observed the seasonal variation in H. reidi population structure in Guanabara and Sepetiba bays, Rio de Janeiro coast, evaluating the influence of abiotic variables, habitat availability, and population density and structure. They concluded that, similar to this study, it may not have shown a relationship with water physical and chemical factors in the studied areas, due to the species’ biological plasticity. Therefore, it is interesting to develop more studies in regions that may present large annual variations of variables to identify the ecological limitations of the target species.
Some seahorse species have been negatively correlated with abiotic factors, such as Hippocampus guttulatus Cuvier, 1829, which showed negative interference from temperature on density and reproductive period (Correia et al., 2018). Other studies with H. guttulatus also raise some alerts about a combination of high temperature (30°C) with low pH (7.5), which can cause metabolic alterations, resulting in lethargy, hypoventilation, and reduced feeding rate (Faleiro et al., 2015).
After 12 campaigns, only 23 observations of H. reidi individuals were recorded, with 12 (52.17%) occurring in the mangrove area and the remaining 11 (47.82%) in the anthropized area. The population was considerably small when compared to studies conducted in northeast mangroves (Rosa et al., 2007; Mai, Rosa, 2009; Valentim et al., 2023). Both areas where seahorses were observed are influenced by human activities, including tourism, intense boat traffic, commercial and sport fishing, and recreational activities such as jet skiing. Despite no significant differences between the observation values of the two areas, there is a greater human interference in the city area, which, in addition to boat circulation and human recreational activities, includes residences and domestic sewage disposal.
Furthermore, the composition of underwater habitat structure differs between both areas, with the mangrove area presenting submerged roots and branches, and the city area featuring artificial structures such as metal fences, cables, and moorings. When analyzed monthly, a trend of higher density in the mangrove area is noticeable, although statistically, there was no significant difference between them. The sex ratio was similar between both studied locations, as well as the number of pregnant males. However, it is important to note the deviation from the sex ratio, in both locations, with a tendency towards more males throughout the study. This higher male trend in the population does not match several studies with seahorse populations in the northeast (Rosa et al., 2007; Mai, Rosa, 2009) and southeast (Freret-Meurer, Andreata, 2008; Freret-Meurer et al., 2018a,b; Carmo et al.,2022), which may indicate a characteristic of the population in the southern region of Brazil. However, further studies are needed to evaluate such a population trend.
The seahorse H. reidi usually shows an irregular distribution and low densities, which is a general trend described for seahorse species (Lourie et al., 2004; Foster, Vincent, 2004) and also observed in this study (0.075 ind.m-2). These low densities are usually related to species’ captures, both incidental, through bottom trawl nets (Silveira et al. 2018), and intentional, consisting of capturing these fishes for aquarium trade, for sale as souvenirs (Gasparini et al., 2005; Borges et al., 2021), or for medicinal purposes (Lourie et al., 2004; Rosa et al., 2007). Since this is the first study for the area, it is not yet possible to relate the low density to specific threats because. Furthermore, the study area is close to the end of the species’ Brazilian geographical distribution, so this density tends to be lower (Rosa et al., 2007).
Despite the low density, the animals’ behavior was similar to other studies, with the majority of them anchored to a holdfast (91.3%), corroborating studies like Carmo (2022) for H. reidi, as well as for Hippocampus capensis Boulenger, 1900 (Bell et al., 2003) and Hippocampus abdominalis Lesson, 1827 (Martin-Smith, Vincent, 2005). Among the anchored animals, it was observed that seahorses in the mangrove area used only mangrove branches and roots, while those in the city area used only artificial structures. This result, combined with a higher frequency of occurrence in the mangrove area, may suggest a relationship with habitat structure, considering that the mangrove area was composed of branches and leaves throughout its extension. Other studies involving the species (Rosa et al., 2007) showed the importance of habitat structure components (such as mangrove vegetation) in establishing H. reidi populations. Aylesworth et al. (2015) described in their study a habitat preference for mangrove structures, relating it with a higher likelihood of finding seahorses.
Studies involving congeners species in the SE/S and NE locations (Rosa et al., 2007; Mai, Rosa, 2009; Junior et al., 2021) suggest a preference for using bryozoans, cnidarians, and macroalgae, as well as mangrove roots and seagrass, as holdfasts. Carmo et al. (2022) also observed the use of Polychaeta tubes, gorgonians, sponges, and ascidians, defining an anchoring pattern of seahorses based on morpho-functional aspect, not species-specific association, determining that the holdfast use reflects its availability in the study area. Additionally, Curtis, Vincent (2005) observed that the total quantity of habitat covered by vegetation and benthic organisms seemed to influence the distribution and abundance of H. guttulatus. In our study, we evidenced the occurrence of H. reidi in areas with the presence of Chlorophyte and Rhodophyte algae, corroborating this relationship between H. reidi occurrence and the presence of these macroalgae, however we did not evaluate the holdfast availability, which limited the preference analyses (Rosa et al., 2002; Dias, Rosa, 2003; Curtis, Vincent, 2006; Rosa et al., 2007; Mai, Rosa, 2009; Carmo et al., 2022).
Studies conducted with other seahorse species (H. guttulatus and H. hippocampus Linnaeus, 1758) also reported a relative abundance of shell fragments being used as a holdfast, besides ascidians, macroalgae, and artificial structures (Correia et al., 2013). The observation of these artificial holdfasts for anchorage by some seahorse species is recurrent (Foster, Vincent, 2004) and accounted for 52.38% of the anchorages recorded in this study. The seahorse H. reidi can also be observed on wooden pillars (Dias, Rosa, 2003), in shellfish cultivation structures (Santos, Souza-Conceição, 2008), buoys, and plastic bags (Freret-Meurer et al., 2023). In our study, the species was observed in the anthropized area, predominantly using a metal fences (38.10%), followed by rope fragments (14.29%), which was also found by Freret-Meurer et al. (2023). The use of these artificial holdfasts by seahorses (Carmo et al., 2022), although representing adaptability regarding human interference in coastal environments (Clynick, 2007), can also make seahorses more vulnerable to exploitation, such as intentional capture, or increasing the risk of accidental removal during fishing or recreational activities.
The present study represents the first data regarding a natural population of seahorses in the southern region of Brazil and highlights relevant information about species density and plasticity. The results showed a population with low density, capable of occurring in a mangrove fragment, maintaining habitat use and behaviors previously recorded in other studies conducted in Brazilian northeast mangroves. Additionally, this population was also able to adapt to habitat changes, occurring in an anthropized area and using artificial structures as holdfast.
Moreover, the study area proved to be an important stronghold for the species, which possibly moves through canal environments, occupying available habitats regardless of the degree of impact or disturbance they are experiencing. This adaptive plasticity exposes the resistance that H. reidi has acquired to establish itself in an impacted area. However, despite this evolutionary mechanism, the frequency of occurrence showed a higher trend towards natural habitats, being an important clue for understanding that these animals may suffer the long-term consequences of degradation. In this sense, monitoring populations in the Linguado Channel should be implemented to increase knowledge of the species in the region and ensure its persistence.
Acknowledgments
The authors acknowledge the Conselho Nacional de Desenvolvimento Científico e Tecnológico (CNPq) for the scholarship to JM. We thank the Meros do Brasil project (sponsored by Petrobras) and UNIVILLE for the field and logistic support. Additionally, we extend our thanks to EPAGRI/CIRAM – Centro de Informações de Recursos Ambientais e de Hidrometeorologia de Santa Catarina for providing meteorological data.
References
Altmann J. Observational study of behaviour: sampling methods. Behaviour. 1974; 49(3/4):227–67. https://doi.org/10.1163/156853974×00534
Aylesworth LA, Xavier JH, Oliveira TPR, Tenorio GD, Diniz AF, Rosa IL. Regional-scale patterns of habitat preference for the seahorse Hippocampus reidi in the tropical estuarine environment.Aquat Ecol. 2015; 49(4):499–512. https://doi.org/10.1007/s10452-015-9542-3
Bell EM, Lockyear JF, McPherson JM, Dale Marsden A, Vincent ACJ. First field studies of an endangered South African seahorse, Hippocampus capensis. Environ Biol Fish. 2003; 67(1):35–46. https://doi.org/10.1023/A:1024440717162
Borges AKM, Braga-Pereira F, Oliveira TPR, Ramos HAC, Rosa IL, Rocha LA et al. Caught in the (inter)net: online trade of ornamental fish in Brazil. Biol Conserv. 2021; 263(7):109344. https://doi.org/10.1016/j.biocon.2021.109344
Carmo TF, Santos LN, Bertoncini AA, Freret-Meurer NV. Population structure of the seahorse Hippocampus reidi in two Brazilian estuaries. Ocean Coast Res. 2022; 70:e22009. https://doi.org/10.1590/2675-2824070.21016tfdc
Clynick BG. Harbour swimming nets: a novel habitat for seahorses. Aquat Conserv Mar Freshw. 2007; 18(5):483–92. https://doi.org/10.1002/aqc.856
Cohen FPA, Valenti WC, Planas M, Calado R. Seahorse aquaculture, biology and conservation: knowledge gaps and research opportunities. Rev Fish Sci Aquac. 2017; 25(1):100–11. https://doi.org/10.1080/23308249.2016.1237469
Correia M, Koldewey HJ, Andrade JP, Esteves E, Palma J. Identifying key environmental variables of two seahorse species (Hippocampus guttulatus and Hippocampus hippocampus) in the Ria Formosa lagoon, South Portugal. Environ Biol Fish. 2018; 101(9):1357–67. https://doi.org/10.1007/s10641-018-0782-7
Correia M, Palma J, Koldewey H, Andrade JP. Can artificial holdfast units work as a habitat restoration tool for long-snouted seahorse (Hippocampus guttulatus Cuvier)? J Exp Mar Biol Ecol. 2013; 448:258–64. https://doi.org/10.1016/j.jembe.2013.08.001
Curtis JMR, Vincent ACJ. Distribution of sympatric seahorse species along a gradient of habitat complexity in a seagrass-dominated community. Mar Ecol Prog Ser. 2005; 291:81–91. https://doi.org/10.3354/meps291081
Curtis JMR, Vincent ACJ. Life history of an unusual marine fish: survival, growth and movement patterns of Hippocampus guttulatus Cuvier 1829. J Fish Biol. 2006; 68(3):707–33. https://doi.org/10.1111/j.0022-1112.2006.00952.x
Dias TLP, Rosa IL. Habitat preferences of a seahorse species, Hippocampus reidi (Teleostei: Syngnathidae) in Brazil. Aqua. 2003; 6(4):165–76. https://api.semanticscholar.org/CorpusID:56182249
Faleiro F, Baptista M, Santos C, Aurélio ML, Pimentel M, Pegado MR et al. Seahorses under a changing ocean: the impact of warming and acidification on the behaviour and physiology of a poor-swimming bony-armoured fish. Conserv Physiol. 2015; 3(1):cov009. https://doi.org/10.1093/conphys/cov009
Foster SJ, Vincent ACJ. Life history and ecology of seahorses: implications for conservation and management. J Fish Biol. 2004; 65(1):1–61. https://doi.org/10.1111/j.0022-1112.2004.00429.x
Freret-Meurer NV, Andreata JV. Field studies of a Brazilian seahorse population, Hippocampus reidi Ginsburg, 1933. Braz Arch Biol Technol. 2008; 51(4):743–51. https://doi.org/10.1590/S1516-89132008000400012
Freret-Meurer NV, Carmo TF, Okada NB, Vaccani A. Population dynamics of the endangered seahorse Hippocampus reidi Ginsburg, 1933 in a tropical rocky reef habitat. Anim Biodivers Conserv. 2018a; 41(2):345–56. https://doi.org/10.32800/abc.2018.41.0345
Freret-Meurer NV, Vaccani A, Okada NB, Carmo TF. A snapshot of a high density seahorse population in a tropical rocky reef. J Nat Hist. 2018b; 52(23–24):1571–80. https://doi.org/10.1080/00222933.2018.1478459
Freret-Meurer NV, Carmo TF, Vaccani A. Baseline study of the seahorse Hippocampus reidi Ginsburg, 1933 population in a tropical hypersaline lagoon. Aquatic Ecology. 2023; 58:117–23. https://doi.org/10.1007/s10452-023-10039-5
Freret-Meurer NV. Ecologia comportamental do cavalo-marinho brasileiro Hippocampus reidi Ginsburg, 1933 em recifes rochosos do estado do Rio de Janeiro. [PhD Thesis]. Rio de Janeiro: Universidade do Estado do Rio de Janeiro; 2010. Available from: https://www.bdtd.uerj.br:8443/handle/1/16120
Garcia AM, Geraldi RM, Vieira JP. Diet composition and feeding strategy of the southern pipefish Syngnathus folletti in a Widgeon grass bed of the Patos Lagoon Estuary, RS, Brazil. Neotrop Ichthyol. 2005; 3(3):427–32. https://doi.org/10.1590/S1679-62252005000300011
Gasparini JL, Floeter SR, Ferreira CEL, Sazima I. Marine ornamental trade in Brazil. Biodivers Conserv. 2005; 14:2883–99. https://doi.org/10.1007/s10531-004-0222-1
Gerhardinger C, Herbst DF, Carvalho FG, Freitas RR, Vila-Nova D, Cunha S et al.Diagnóstico socioambiental do ecossistema Babitonga. CEPSUL. 2021; 10:e2021002. https://doi.org/10.37002/revistacepsul.vol10.830e2021002
Hora MSC, Joyeux J-C, Rodrigues RV, Rodrigues RV, Santos LPS, Gomes LC et al. Tolerance and growth of the longsnout seahorse Hippocampus reidi at different salinities. Aquaculture. 2016; 463(1):1–06. https://doi.org/10.1016/j.aquaculture.2016.05.003
Instituto Chico Mendes de Conservação da Biodiversidade (ICMBio). Atlas dos manguezais do Brasil. Brasília: ICMBio; 2018.
Junior RS, Franco ACNP, Ribeiro AS, Martins MA, Soeth M, Cardoso OR et al. Ecological and growth patterns of the longsnout seahorse Hippocampus reidi inferred by mark-recapture techniques in a tropical estuary. Biota Neotrop. 2021; 21(2):e20201130. https://doi.org/10.1590/1676-0611-BN-2020-1130
Kennish MJ. Environmental threats and environmental future of estuaries. Environ Conserv. 2002; 29(1):78–107. https://doi.org/10.1017/S0376892902000061
Kilca RV, Melo Jr. JCF, Esemann-Quadros K, Larcher L, Pfuetzenreuter A. Os manguezais e marismas da Baía Babitonga: uma síntese. CEPSUL. 2019; 8:eb2019002. https://doi.org/10.37002/revistacepsul.vol8.682eb2019002
Lotze HK, Lenihan HS, Bourque BJ, Bradbury RH, Cooke RG, Kay MC et al. Depletion, degradation, and recovery potential of estuaries and coastal seas. Science. 2006; 312(5781):1806–09. https://doi.org/10.1126/science.1128035
Lourie SA, Foster SJ, Cooper EWT, Vincent ACJ. A guide to the identification of seahorses. Washington D.C.: University of British Columbia and World Wildlife Fund.; 2004.
Lourie SA, Pollom RA, Foster SJ. A global revision of the seahorses Hippocampus Rafnesque 1810 (Actinopterygii: Syngnathiformes): taxonomy and biogeography with recommendations for further research. Zootaxa. 2016; 4146(1):1–66. https://doi.org/10.11646/ZOOTAXA.4146.1.1
Mai ACG, Rosa IML. Ecological aspects of the seahorse Hippocampus reidi in the Camurupim/ Cardoso estuary, Piauí State, Brazil, as subsidies for the implementation of an Environmental Protection Area. Biota Neotrop. 2009; 9(3):85–91. https://doi.org/10.1590/S1676-06032009000300007
Martínez ML, Intralawan A, Vázquez G, Pérez-Maqueo O, Sutton P, Landgrave R. The coasts of our world: ecological, economic and social importance. Ecol Econ. 2007; 63(2–3):254–72. https://doi.org/10.1016/j.ecolecon.2006.10.022
Martin-Smith KM, Vincent ACJ. Seahorse declines in the Derwent estuary, Tasmania in the absence of fishing pressure. Biol Conserv. 2005; 123(4):533–45. https://doi.org/10.1016/j.biocon.2005.01.003
McDonald RI, Mansur AV, Ascensão F, Colbert M, Crossman K, Elmqvist T et al. Research gaps in knowledge of the impact of urban growth on biodiversity. Nat Sustain. 2020; 3:16–24. https://doi.org/10.1038/s41893-019-0436-6
Menezes NA, Figueiredo JL. Manual de peixes marinhos do Sudeste do Brasil: Teleostei (3), Volume 4. São Paulo: Museu de Zoologia da Universidade de São Paulo; 1980.
Oliveira TPR, Pollom RA. Hippocampus reidi (Long-snout seahorse). International Union for Conservation of Nature and Natural Resources: The IUCN red list of threatened species; 2017. Available from: https://www.iucnredlist.org/es/species/10082/17025021
Oliveira VM, Freret-Meurer NV. Distribuição vertical do cavalo-marinho Hippocampus reidi Ginsburg, 1933 na região de Arraial do Cabo, Rio de Janeiro, Brasil. Biotemas. 2012; 25(2):59–66. https://doi.org/10.5007/2175-7925.2012v25n2p59
Payne MF, Rippingale RJ, Longmore RB. Growth and survival of juvenile pipefish (Stigmatopora argus) fed live copepods with high and low HUFA content. Aquaculture. 1998; 167:237–45. https://doi.org/10.1016/S0044-8486(98)00318-4
Pollom RA, Ralph GM, Pollock CM, Vincent ACJ. Global extinction risk for seahorses, pipefishes and their near relatives (Syngnathiformes). Oryx. 2021; 55(4):497–506. https://doi.org/10.1017/S0030605320000782
Ren Q, He C, Huang Q, Zhang D, Shi P, Lu W. Impacts of global urban expansion on natural habitats undermine the 2050 vision for biodiversity. Resour Conserv Recycl. 2023; 190:106834. https://doi.org/10.1016/j.resconrec.2022.106834
Rosa IL, Dias TL, Baum JK. Threatened fishes of the world: Hippocampus reidi Ginsburg, 1933 (Syngnathidae). Environ Biol Fishes. 2002; 64:378. https://doi.org/10.1023/A:1016152528847
Rosa IL, Oliveira TPR, Castro ALC, Moraes LES, Xavier JHA, Nottingham MC et al. Population characteristics, space use and habitat associations of the seahorse Hippocampus reidi (Teleostei: Syngnathidae). Neotrop Ichthyol. 2007; 5(3):405–14. https://doi.org/10.1590/S1679-62252007000300020
Sales NS, Dias TLP, Baeta A, Pessanha ALM. Dependence of juvenile reef fishes on semi-arid hypersaline estuary microhabitats as nurseries. J Fish Biol. 2016; 89(1):661–79. https://doi.org/10.1111/jfb.13006
Santos GSM, Souza-Conceição JM. O cultivo de moluscos na baía da Babitonga (Santa Catarina) como habitat para Hippocampus reidi e Hippocampus erectus (Teleostei: Syngnathidae – ocorrência e aspectos da biologia. Rev Saúde Ambiente. 2008; 9(2):34–41. https://pergamum.univale.br/acervo/232214/referencia
Silveira RB, Barcelos BT, Machado R, Oliveira L, Santos-Silva JR. Records of bycatch of Hippocampus patagonicus (Pisces: Syngnathidae) in commercial fishing in southern Brazil. Lat Am J Aquat Res. 2018; 46(4):744–55. https://doi.org/10.3856/vol46-issue4-fulltext-12
Silveira RB. Dinâmica populacional do cavalo-marinho Hippocampus reidi (Syngnathidae) no manguezal de Maracaípe, Ipojuca, PE. [PhD Thesis]. Rio Grande do Sul: Pontifícia Universidade Católica do Rio Grande do Sul; 2005. Available from: https://tede2.pucrs.br/tede2/handle/tede/290
Suguio K. Dicionário de geologia marinha com termos correspondentes em inglês, francês e espanhol. São Paulo: T.A. Queiroz Editor Ltda.; 1992.
Ternes MLF, Freret-Meurer NV, Nascimento RL, Vidal MD, Giarrizzo T. Local ecological knowledge provides important conservation guidelines for a threatened seahorse species in mangrove ecosystems. Front Mar Sci. 2023; 10:10.1139368. https://doi.org/10.3389/fmars.2023.1139368
Tseng CC, Chien JH, Chu TW, Cheng AC, Shiu YL, Han TW et al. Effects of food type, temperature and salinity on the growth performance and antioxidant status of the longsnout seahorse, Hippocampus reidi. Aquac Res. 2020; 1–12. https://doi.org/10.1111/are.14826
United Nations Development Programme (UNDP). Human development report, 2005: international cooperation at a crossroads; aid, trade and security in an unequal world. New York: United Nations Development Programme; 2005.
Valentim GA, Pinto LM, Gurgel-Lourenço RC, Rodrigues-Filho CAS, Sánchez-Botero JI. Population structure of the seahorse Hippocampus reidi (Syngnathiformes: Syngnathidae) in a Brazilian semi-arid estuary. Neotrop Ichthyol. 2023; 21(4):e230004. https://doi.org/10.1590/1982-0224-2023-0004
Vincent ACJ, Foster SJ, Koldewey HJ. Conservation and management of seahorses and other Syngnathidae. J Fish Biol. 2011; 78(6):1681–724. https://doi.org/10.1111/j.1095-8649.2011.03003.x
Whitfield AK, Elliot M. Fishes as indicators of environmental and ecological changes within estuaries: a review of progress and some suggestions for the future. J Fish Biol. 2022; 61:229–50. https://doi.org/10.1111/j.1095-8649.2002.tb01773.x
Worm B, Barbier EB, Beaumont N, Duffy JE, Folke C, Halpern BS et al. Impacts of biodiversity loss on ocean ecosystem services. Science. 2006; 314(5800):787–90. https://doi.org/10.1126/science.1132294
Authors
Julia Maria Maccari1
,
Johnatas Adelir-Alves2,
Natalie Villar Freret-Meurer3 and
Pedro Carlos Pinheiro4
[1] Universidade Federal do Paraná, Campus Politécnico, Av. Cel. Francisco H. dos Santos, 100, Jardim das Américas, 81530-000 Curitiba, PR, Brazil. maccarijulia@gmail.com (corresponding author).
[2] Instituto Meros do Brasil, Rua Benjamin Constant, 67 CJ 1104, 10o Andar, Centro, 80060-020 Curitiba, PR, Brazil. johnatas_alves@yahoo.com.
[3] Universidade Santa Úrsula, Rua Fernando Ferrari, 75, Botafogo, 22231-040 Rio de Janeiro, RJ, Brazil. nataliefreret@yahoo.com.br.
[4] Universidade da Região de Joinville, Campus São Francisco do Sul, Rod. Duque de Caxias, 6365, Iperoba, 89240-000 São Francisco do Sul, SC, Brazil. pedropinheiro@univille.br.
Authors’ Contribution 

Julia Maria Maccari: Conceptualization, Data curation, Formal analysis, Investigation, Methodology, Software, Writing-original draft, Writing-review and editing.
Johnatas Adelir-Alves: Conceptualization, Data curation, Formal analysis, Investigation, Methodology, Software, Supervision, Writing-review and editing.
Natalie Villar Freret-Meurer: Formal analysis, Software, Writing-review and editing.
Pedro Carlos Pinheiro: Conceptualization, Data curation, Formal analysis, Investigation, Methodology, Software, Supervision, Writing-original draft, Writing-review and editing.
Ethical Statement
Not applicable.
Competing Interests
The author declares no competing interests.
How to cite this article
Maccari JM, Adelir-Alves J, Freret-Meurer NV, Pinheiro PC. The habitat use of longsnout seahorse Hippocampus reidi in a subtropical Brazilian estuary. Neotrop Ichthyol. 2024; 22(4):e240041. https://doi.org/10.1590/1982-0224-2024-0041
Copyright
This is an open access article under the terms of the Creative Commons Attribution License, which permits use, distribution and reproduction in any medium, provided the original work is properly cited.
Distributed under
Creative Commons CC-BY 4.0

© 2024 The Authors.
Diversity and Distributions Published by SBI
Accepted May 9, 2024
Submitted November 4, 2024 by Osmar Luiz
Epub January 10, 2025









