Eugenia Mendez1,
Camila Albanesi1,
María Soledad Michiels1,
Alejanda López-Mañanes1 and
Mariano González-Castro1 ![]()
PDF: EN XML: EN | Cite this article
Abstract
This study analyses body condition and digestive/metabolic parameters of Odontesthes argentinensis from Mar Chiquita Coastal Lagoon (MChCL) during different ovary maturity phases (II: developing; III: spawning capable; IIIas: actively spawning subphase). Silverside individuals in phases II and III maintained their body condition, while it improved in actively spawning subphase. Total weight and Fulton’s condition factor increase in 70% and 50%, respectively. No changes were observed during the ovary maturation phases in hepatosomatic index and intestinal coefficient. Maltase activity in the intestine remained unchanged, while Aminopeptidase-N was higher, about 300%, in the spawning capable phase (III). Alkaline phosphatase in the intestine was unchanged pointing out the maintenance of intestinal homeostasis. Liver glycogen concentration decreased, about 40%, in the actively spawning subphase (IIIas), while muscle glycogen abruptly decreased in phase III and recovered in subphase IIIas. In intestinal fat, triglycerides concentration was lower 70% in subphase IIIas, while no changes occurred in liver and muscle. Muscle protein concentration decreased about 50% in actively spawning subphase. The findings shed light on the remarkable adaptability of this population of O. argentinensis from MChCL to support its gonadal maturation and active spawning maintaining and even improving its physical condition.
Keywords: Digestive enzymes, Energy reserves, Euryhaline fishes, Reproductive ecology, Silverside.
Este trabajo analiza los parámetros digestivo/metabólicos y de condición corporal de Odontesthes argentinensis de la Laguna Costera Mar Chiquita (LCMCh) en diferentes fases de madurez ovárica (II: maduración; III: capacidad de desove; IIIas: subfase activo desovante). Pejerreyes en fases II y III mantuvieron su condición corporal, mientras que la misma mejoró en la subfase activo desovante. El peso total y el factor de condición de Fulton aumentaron en un 50% y 70% respectivamente. No se observaron cambios en el índice hepatosomático ni en el coeficiente intestinal en las diferentes fases de maduración ovárica. La actividad de maltasa en el intestino no varió, mientras que la actividad de N-aminopeptidasa fue 300% mayor en la fase con capacidad de desove (III). La actividad de fosfatasa alcalina en intestino no cambió, indicando el mantenimiento de la homeostasis intestinal. La concentración de glucógeno en hígado disminuyó un 40% en la subfase activo desovante (IIIas), mientras que el glucógeno en músculo disminuyó abruptamente en la fase III y se recuperó en la subfase IIIas. En grasa intestinal, la concentración de triglicéridos fue 70% menor en la subfase IIIas mientras que no hubo cambios en hígado y músculo. La concentración de proteínas en músculo disminuyó un 50% en la subfase activo desovante. Estos resultados destacan la capacidad de adaptación de esta población de O. argentinensis de la LCMCh para sostener la maduración gonadal y el desove manteniendo e incluso mejorando la condición corporal.
Palabras clave: Ecología reproductiva, Enzimas digestivas, Peces eurihalinos, Pejerrey, Reservas de energía
Introduction
The New World silversides (Atherinopsidae) are widespread freshwater and marine fish commonly occurring in schools in shallow waters (Helfman et al., 2009). In Argentina, this family is represented by one genus (Odontesthes Evermann & Kendall, 1906) which comprises ten species, commonly known as “pejerreyes”. Odontesthes argentinensis (Valenciennes, 1835) inhabits both estuaries and coastal waters (Cousseau, Perrotta, 2013) possess a wide distribution along the southwestern Atlantic Ocean between Rio de Janeiro, Brazil (22°S), and Rawson, Argentina (43°S) (Dyer, 2000; Llompart et al., 2013; Di Dario et al., 2014; González-Castro et al., 2016, 2019, 2022). This species has singular economic importance due to is target by recreational and artisanal fisheries in Buenos Aires Province (Dyer, 2006; Llompart, 2011; Llompart et al., 2013; Cousseau, Perrotta, 2013; González-Castro et al., 2016, 2019).
Mar Chiquita Coastal Lagoon (MChCL) is located in the Buenos Aires Province (Argentina) (37°32’ – 37°45’S, 57°19’ – 57°26’W) and was declared since 1996 as a World Biosphere Reserve by UNESCO. It constitutes a heterogeneous and challenged habitat since it is subjected to highly dynamic environmental conditions that modulate biological communities (Reta et al., 2001; González-Castro et al., 2009; Marquez et al., 2022). Inside this lagoon, a population of O. argentinensis performs its entire life cycle (González-Castro et al., 2009, 2016, 2019, 2022), representing a “hot spot” in the topics of evolutionary biology. Reports strongly suggest that it represents an evolutionary significant unit (ESU) (sensu Waples, 2004) or even an incipient species (González-Castro et al., 2019, 2022; Hughes et al., 2020; Levy et al., 2021).
Odontesthes argentinensis from MChCL present a multiple-batch spawning strategy (González-Castro et al., 2009), e.g., their ovaries exhibit oocytes in different growth phases. However, it is not yet clear whether breeding females feed throughout the spawning season (winter-spring), or if they do so intermittently during the period between batch spawning (González-Castro et al., 2009). Therefore, along the gonadal maturation and spawning period, the maintenance of body condition could be compromised. In fishes, body condition refers to a physiological or nutritional state, which can be assessed by a variety of parameters such as biological indices and weight-length relationships. Body condition is a particularly important attribute of fish success because it has a large influence on growth, reproduction and survival (Lloret et al., 2002; Kanno et al., 2023; Vagnon et al., 2024; Wolf et al., 2024). Hepatosomatic Index serves as an indicator of a fish’s general health condition, considering that some fishes do not always rely on muscle somatic tissue as their primary energy storage reserve, but on specific organs such as the liver (do Carmo Silva et al., 2019).
Fishes require different sources of energy to maintain their physical condition and fundamental processes, such as growth, metabolism, and reproduction (Karasov, Douglas, 2013; Steinberg, 2018; Small, 2022). Digestive enzyme activity and energy reserves provide insights into nutrient utilization under different physiological conditions (Karasov, Douglas, 2013; Yang et al., 2019; Lallès, 2020; Albanesi et al., 2022). Membrane-bound enzymes like maltase and aminopeptidase-N indicate intestinal maturity and digestion progress (Holt, 2011; del Valle et al., 2016; Albanesi et al., 2021). Alkaline phosphatases play multiple roles in digestion and absorption of nutrients (Estaki et al., 2014; Lallès, 2014, 2020; Bilski et al., 2017; Ducatelle et al., 2018). The determination of the concentration of energy reserves such as glycogen, triglycerides and protein in storage organs is a common tool used to evaluate the metabolic characteristics and adjustments at the biochemical level of an individual (Karasov, Douglas, 2013; Albanesi et al., 2023; 2024). Digestive/metabolic adjustments such as differential modulation of key digestive enzyme activity in the intestine and a selective use of energy reserves in different storage organs could occur in order to make successfully the individuals adaptation to variations in external and/or internal factors (Karasov, Douglas, 2013). Changes in tissue-biochemical composition of reserve organs have been related to gonadal maturity phases in fishes (Tyler, Sumpter, 1996) and reproductive displacements (Šmejkal et al., 2017). The gonads undergo developmental changes with the onset of maturation, which are closely accompanied by conspicuous cellular, biochemical, molecular and endocrinological adjustments (Nagahama, 1983; Guraya, 2000). As the gonads increase in size, somatic growth slows down and eventually stops and energy reserves are mobilized from the somatic tissues and transferred to the gonads (Aksnes et al., 1986).
For the reasons exposed above, the aim of this work was to analyse several body condition and digestive/metabolic parameters in different ovary development phases (II: developing; III: spawning capable; IIIas: actively spawning subphase) of the resident population of O. argentinensis from MChCL, including: a) GSI and HSI, intestinal coefficient (IC) and condition factor K; b) maltase, aminopeptidase-N (APN) and alkaline phosphatase (AP) activities in the intestine and c) glycogen, free glucose, triglycerides and protein concentration in energy storage sites. We hypothesize that the individuals of the resident population of O. argentinensis from MChCL exhibit changes in digestive/metabolic parameters, that could allow them to sustain their body condition throughout their development and ovary maturity phases.
Material and methods
Study area and fish sampling. Specimens (n = 75 for Fulton condition factor K analysis; n = 41 for morphological and biochemical analysis) of the resident population of O. argentinensis from MChCL were captured in Zone III (mixo-oligohaline waters) and its freshwater tributaries (Fig. 1) according to González-Castro et al. (2009). Zone III is located in the extreme north of the lagoon, where spawning events of O. argentinensis have been recorded (González-Castro et al., 2009). Voucher specimens of O. argentinensis (UNMDP-T 1450, UNMDP-T 1451, UNMDP-T 1452, UNMDP-T 1453) were deposited at the ichthyological collection of the Instituto de Investigaciones Marinas y Costeras, Universidad Nacional de Mar del Plata, Argentina. Field samples were monthly performed, employing beach seine-nets, during spring, summer and early autumn with an average water temperature of 17 ºC. Adult females were transported on ice to the laboratory and stored at -20 ºC. Fish were taxonomically identified according to Cousseau, Perrotta (2013) and González-Castro et al. (2016, 2022). Total length (TL), standard length (SL), total weight (TW), gonad (GW), liver (LW) and intestinal (IW) weights, intestinal length (IL) and intestinal-content weight of each individual were recorded, employing a digital caliper to the nearest millimeter and an electronic balance (0.1 g). Gonadosomatic index (GSI %): GW/ (TW-GW) x 100, hepatosomatic index (HSI %): LW/TW-LW) × 100), intestinal coefficient (IC) (IL/SL) and condition factor of Fulton (K) K = (TW / TLb) x 100, were estimated. Length-weight relationships for individuals of different ovary development phases were estimated using a linear regression based on the power equation, Y = a × TLb with the b parameter (slope) related to the rate of weight gain as a function of length.
FIGURE 1| Study area, Mar Chiquita Coastal Lagoon, Buenos Aires Province, Argentina.
Sex and ovary development phases of adult specimens were determined employing the macro and microscopy terminology of five phases proposed by Brown-Peterson et al. (2011). Then, individuals from the following phases were analysed: II) developing (early gonadal growth, including the presence of cortical alveoli, primary [Vtg1], secondary [Vtg2], and tertiary [Vtg3] vitellogenesis oocytes according to Brown-Peterson et al., 2011); III) spawning capable (Vtg3 oocytes, with fish being capable of spawning within the current reproductive cycle); IIIas) actively spawning subphase (defined by the presence of oocytes in late Germinal Vesicle Migration, germinal vesicle breakdown, hydration, ovulation, or newly collapsed post-ovulatory follicles [POFs]) (Brown-Peterson et al., 2011).
Biochemical assays. With the purpose of preparing the different tissues for conducting the determinations of enzymatic activities and energy reserves, intestine, liver, muscle and intestinal fat were extracted, weighed and placed in individual containers on ice for subsequent processing. The intestine and liver were separately homogenized in 50 mM Tris/HCl, pH 7.4, 4 ml of tissue per gram, using a bench mixer (homogeniser model X-9120 – Schaft T10F -Ingenieurbüro CAT, M. Zipperer GmbH), on ice until complete tissue processing (del Valle et al., 2016; Albanesi et al., 2022). The same procedure was followed for the body muscle although 8 ml of tissue per gram was used (del Valle et al., 2016; Albanesi et al., 2022). Subsequently, aliquots of each homogenate were separated into Eppendorf tubes and stored at -20 °C until their use.
Maltase activity was determined by measuring the glucose released from the specific substrate (Albanesi et al., 2022). The sample was incubated during 10 min at 37 °C with 42 mM of maltose or sucrose in 0.1 M malate buffer (pH 6, 4) at 37 °C (Albanesi et al., 2022). The reaction was stopped with 1.5 mL of a glycemia kit (Wiener Lab Glicemia AA) and further incubated during 5 min at 37 °C. Glucose amount was quantified reading absorbance at 505 nm of the coloured quinone complex.
Aminopeptidase-N activity was determined by using L-alanine-p-nitroanilide (L-Ala-pNA) as substrate (Roncari, Zuber, 1969) with modifications (Michiels et al., 2015, 2017; del Valle et al., 2016; Albanesi et al., 2022). The reaction was initiated by the addition of substrate (final concentration 0.33mM) to a reaction mixture containing the sample in 50 mM Tris-HCl buffer at pH 7.4. After incubation for 15 min at 45 °C (Michiels et al., 2015, 2017; del Valle et al., 2016; Albanesi et al., 2022), the reaction was stopped with 0.2 ml of cold 2 M acetic acid and absorbance was determined at 384 nm.
Alkaline phosphatase (AP) activity was determined as previously described (Méndez et al., 2021). In the standard assay, AP activity was determined by measuring p-nitrophenyl phosphate (pNPP) hydrolysis in a reaction medium containing 4 mM MgSO4 in 0.1 M Tris-HCl buffer at pH 9.0. After pre-incubation of the sample in the assay mixture for 5 min at 37 °C, pNPP, final concentration of 10 mM, was added and incubation proceeded for 10 min. The reaction was stopped by adding 0.1 M KOH.
Glycogen was determined by hydrolysis of α-amyloglucosidase (Sigma Chemicals) (del Valle et al., 2016; Albanesi et al., 2022). The corresponding sample was boiled for 4 min and then incubated in acetate buffer at pH 4.8 in the presence and absence of 0.2 mg ml-1 of α-amyloglucosidase for 2.5 h at 55 °C (del Valle et al., 2016; Albanesi et al., 2022). After incubation, samples were centrifuged at 6,000 rpm for 15 min. Glucose was quantified in the supernatant using the commercial kit for enzyme glycemia (Wiener Lab AA). Released glucose from glycogen was determined as the difference between the tests with and without enzyme. Results were presented as mg glucose x g of tissue-1. Free glucose content was determined from assay performed in the absence of α-amyloglucosidase.
Triglycerides (TG) were measured by the colorimetric method of glycerol phosphate oxidase (TG Wiener-Lab AA code 861110001). An aliquot of the corresponding sample was incubated with this reactant for 5 min at 37 °C (Albanesi et al., 2022). The amount of released glycerol was determined by reading the absorbance at 505 nm of the colored quinone complex. Proteins were assayed according to Bradford (1976). Bovine serum albumin (0.96 mg x ml-1) was used as standard.
Statistical analysis.Both, a Student T and a Fisher’s tests were employed in order to test isometric/allometric growth of the different ovary development phases. The obtained coefficients b for each group were employed to estimate factor K. A One-way ANOVA was employed to test comparisons among K values of the different development phases studied.
To study the differences of the biological indexes (HSI, GSI, IC) and biochemical data among the different ovary development phases, statistical analyses were performed using the Sigma-Stat statistical package 3.0 for Windows. This software automatically pre-tests for equality of variances and normality. One-Way ANOVA was performed to estimate statistical differences, with significance set at p < 0.05. Post-hoc tests were conducted to identify differences.
Results
Body condition parameters. Morphological determinations showed that TL, BW, GW, LW were greater in phase IIIas compared to phase II and phase III. The IW did not vary between the three phases. Neither was different the intestinal content weight found in the fish intestine between the three phases. Individualsinthe phases II, III and subphase IIIas presented a similar IC (mean 1.1) and HSI (II: 1.92 ± 0.71; III: 2.31 ± 1.84; IIIas: 2.17 ± 0.79) (Tab. 1).
TABLE 1 | Measurements of morphological/morphometrical and body condition parameters of Odontesthes argentinensis from Mar Chiquita Coastal Lagoon, at different phases of ovarian development. N = Number of samples; SD = Standard deviation; GSI = Gonadosomatic index; HIS = Hepatosomatic index; IC = Intestinal coefficient. Different letters indicate significant differences (one-way ANOVA; p < 0.05).
| Phase II N = 18 | Phase III N = 10 | Phase IIIas N = 13 |
| ||||||
Physical Traits | Mean | Range | SD | Mean | Range | SD | Mean | Range | SD | P value |
Total length (mm) | 317 a/b | 255–378 | 36.92 | 300 a | 294–385 | 48.5 | 349 b | 331–400 | 39.7 | 0.01 |
Body weight (g) | 255 a | 112–423 | 91 | 222.1 a | 214–414 | 99 | 382 b | 256–635 | 149 | 0.003 |
Gonad weight (g) | 2.00 a | 0.2–3.5 | 1.1 | 4.1 a | 1.2–7 | 1.6 | 31.56b | 10.3–73.5 | 18.4 | <0.0001 |
Liver weight (g) | 5.1 a | 1.3–11.5 | 3.20 | 4.5 a | 1.8–9 | 2.37 | 8.8 b | 0.7–19.2 | 5.6 | 0.02 |
Intestinal length (mm) | 279 a/b | 175–370 | 44 | 266 a | 147–320 | 56 | 324 b | 205–414 | 66 | 0.03 |
Intestinal weight (g) | 7.6 | 2.7–17 | 3.6 | 5.5 | 1–10.3 | 3.1 | 11.2 | 1.9–38.1 | 10.9 | 0.1 |
Intestinal content weight (g) | 4.6 | 0.7–9.2 | 2.5 | 3.0 | 1.0–6.8 | 1.9 | 6.6 | 0.5–31.9 | 3.3 | 0.2 |
GSI (%) | 0.8 a | 0.1–1.8 | 0.3 | 2.1 b | 1.0–5.3 | 0.6 | 8.9 c | 3.6–10.7 | 3.3 | <0.0001 |
HSI (%) | 1.9 | 1.2–3.4 | 0.7 | 2.3 | 1.4–3.0 | 1.8 | 2.2 | 1.5–3.1 | 0.8 | 0.09 |
IC (%) | 1.1 | 0.7–1.3 | 0.1 | 1.1 | 0.9–1.4 | 0.2 | 1.1 | 0.9–1.2 | 0.1 | 0.4 |
The lowest GSI value was found in phase II, with a mean of 0.78 ± 0.33. In phase III, the mean GSI calculated was 2.11 ± 0.62. The highest GSI mean 8.9 ± 3.35 was estimated in subphase IIIas (Tab. 1).
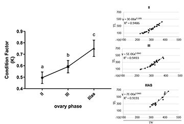
Fish analysed presented an isometric growth in the three phases of ovary development. However, Fisher’s test revealed significant differences between coefficients ‘b’ of the three phases. A significant variation of the factor condition was observed between the different phases of ovary development with a maximum in phase IIIas (mean II = 0.49 ± 0.05; III = 0.59 ± 0.06; IIIas = 0.75 ± 0.07) (Fig. 2).
FIGURE 2| Allometric coefficient and condition factor for Odontesthes argentinensis at different phases of ovary development. TL = Total length; TW = Total weight. Different letters indicate significant differences (one-way ANOVA; p < 0.05).
Enzyme activities in the intestine. Maltase, APN and AP activities in the intestine of O. argentinensis at different phases of ovary development are shown in Figs. 3A–C. Maltase activity was not significantly different among the three phases (Fig. 3A). Aminopeptidase-N revealed significantly higher activity in phase III compared to phases II and IIIas (Fig. 3B). No differences in the AP activity were detected in the intestine of O. argentinensis among the three phases (Fig. 3C).
FIGURE 3| A. Maltase; B. Aminopeptidase-N (APN); C. Alkaline phosphates (AP) specific activity in Odontesthes argentinensis at different phases of ovary development (II: developing; III: spawning capable; IIIas: actively spawning subphase). Different letters indicate significant differences (one-way ANOVA; p < 0.05). Data are the mean ± S.E. for six individuals.
Energy reserves in reserve organs. Glycogen and free glucose concentration in liver are presented in Fig. 4, showing similar values in phase II and phase III, but it was 60% lower in phase IIIas (Fig. 4A). No significant differences in free glucose concentration were detected among the three phases (Fig. 4B). Glycogen concentration in muscle markedly decreased (99%) in phase III compared with phase II (Fig. 4C). Phase IIIas exhibited similar values of muscle glycogen concentration to those of phase II (Fig. 4C). Free glucose concentration was significantly higher (600%) in phase III than in phase II and IIIas.
FIGURE 4| Glycogen concentration in liver (A) and muscle (C) and free glucose concentration in liver (B) and muscle (D) of Odontesthes argentinensis at different phases of ovary development (II: developing; III: spawning capable; IIIas: actively spawning subphase). Different letters indicate significant differences (oneway ANOVA; p < 0.05). Data are the mean ± S.E. for 6 to 16 individuals.
Triglyceride concentration (TG) in liver, muscle and intestinal fat are shown in Figs. 5A–C, no difference in the TG concentration were detected in liver (Fig. 5A) and muscle (Fig. 5B) of O. argentinensis among the three phases studied. Meanwhile, TG concentration in intestinal fat was similar in phase II and phase III, but with lower values (50%) in phase IIIas (Fig. 5C).
FIGURE 5| Triglycerides (TG) concentration in liver (A), muscle (B) and intestinal fat (C) of Odontesthes argentinensis at different phases of ovary development (II: developing; III: spawning capable; IIIas: actively spawning subphase. Different letters indicate significant differences (oneway ANOVA; p < 0.05). Data are the mean ± S.E. for 6 to 16 individuals.
Protein concentration in liver and muscle are shown in Figs. 6A–B. In liver, no differences were recorded (Fig. 6A). Meanwhile, in muscle, protein concentration was similar in phase II and III, while in phase IIIas was lower (50%) compared to stage III (Fig. 6B).
FIGURE 6| Protein concentration in liver (A) and muscle (B) of Odontesthes argentinensis at different phases of ovary development (II: developing; III: spawning capable; IIIas: actively spawning subphase). Different letters indicate significant differences (one-way ANOVA; p < 0.05). Data are the mean ± S.E. for 6 to 16 individuals.
Discussion
The resident population of O. argentinensis in MChCL has been intensively studied in the last two decades, due to its remarkable morphological, meristic, genetic and ecological features (González-Castro et al., 2009, 2016, 2019, 2022; Levy et al., 2021). González-Castro et al. (2009) suggested that a population of the marine silverside (O. argentinensis) would perform its whole life cycle inside MChCL, at water salinities ranging freshwater values, pointing out the necessity of deeper studies on this taxon. After that, González-Castro et al. (2016) demonstrated significant-meristic and body shape differences between the MChCL and marine individuals of O. argentinensis, suggesting they behave as well differentiated populations, or even incipient ecological species. They also reported a new group of silverside morphotypes. The suitability of DNA Barcoding to analyse the diversity and distribution of haplotypes in some putative populations of O. argentinensis was assessed by González-Castro et al. (2019). The Fst (genetic variation among individuals within populations) pairwise comparisons within O. argentinensis localities supported the existence of three population-groups: one composed by MChCL specimens, and the others by Mar del Plata/Mar Chiquita coast and San Blas Bay coastal specimens, respectively. These authors suggest that specimens from MChCL should be considered as a marine to freshwater incipient speciation event. Recently, Levy et al. (2021), combining evidence from fish meristic analysis and parasite ecology, demonstrated that the structure and composition of parasite assemblages are indicators of isolation between the populations of O. argentinensis from MChCL and their neighbours of MCh coastal marine waters, again suggesting an incipient speciation processes. At last, González-Castro et al. (2022) based on environmental, genomic and geometric- morphometric data demonstrated a clear signature of population genetic structure, distinguishing O. argentinensis residents of MChCL from the marine populations of this species, that also was supported by distinctive morphometric and ecological features among these groups. All these previous results indicate that the resident population of O. argentinensis from MChCL can be considered an evolutionary significant unit (ESU), sensu Waples (2004), or even an incipient species, constituting it as a hot spot in evolutionary biology. Phenotypic differences can result in local adaptations when, among other necessary conditions, populations live in unstable environments, exchange few or no migrants, and they are subject to differential selective pressures (Ghalambor et al., 2007). In fact, several studies have documented the persistent tendency of O. argentinensis to establish estuarine (Beheregaray, Levy, 2000; Moresco, Bemvenuti, 2006), lagoon (González-Castro et al., 2009, 2016) or even landlocked (Colautti et al., 2020) populations.
In the present study, results showed a differential modulation of key components of carbohydrates, lipid and protein metabolism that would allow to maintain the body condition of the resident population of O. argentinensis from MChCL. The condition factor can be influenced by reproductive mode, food availability, habitat and environmental condition (Morato et al., 2001; Palazón-Fernandez et al., 2001; Eastwood, Counture, 2002). Fulton’s condition factor (K) of O. argentinensis from MChCL increased, thus notably showing an improvement during phase IIIas. This result can be explained by the fact that O. argentinensis individuals continued feeding during both, gonadal maturation and actively spawning phases, as it was recorded by the permanent presence of food in their digestive tract. The fact that HSI did not change among the three phases of ovary development studied could mean that ovary development did not limit reserve store in liver (Dambo et al., 2021). The maintenance of HSI values recorded in the present work could be attributed to the continued intake of food. An increased K with no change in HSI is common in fishes that continue to feed during maturation and spawning seasons (Militelli, Macchi, 2006; Domínguez-Petit, Saborido-Rey, 2010). Then, the energy demand through the ovarian cycle of O. argentinensis (e.g., GSI increases as the ovaries develop), could be supported by metabolic reorganization (e.g., activity of key enzymes in the digestive tract, differential use of reserves) (Hany et al., 2018). Llompart et al. (2013) assessed the relationship between annual cycles of different biological indices with growth patterns of O. argentinensis in San Blas Bay, North Patagonia. The reproductive cycle was also coupled with metabolic processes related to energy allocation as shown by changes in the HSI and body condition. Similarly, the results obtained in the present work evidenced an increase in Fulton’s condition factor, which accompanies the actively spawning subphase (IIIas) of O. argentinensis from MChCL.
The comparison of digestive enzyme activities allows to evaluate the possible adjustments in digestive capacity for the corresponding substrate (Pradhan et al., 2013; Small, 2022). The fact that maltase activity in the intestine of O. argentinensis did not vary between the phases of ovary development, suggests the maintenance of the potential capacity for final steps of carbohydrate digestion. On the other hand, the higher APN activity in intestine of individuals in phase III, suggests the occurrence of a specific modulation of the potential capacity for the final steps of protein digestion. In fishes, the digestion of proteins by proteases and the absorption processes in the intestine play a crucial role in providing amino acids necessary for the construction of tissues and the maintenance of key functions (Karasov, Douglas, 2013; Cassidy et al., 2016; Steinberg, 2018). Phase III involves Vtg3 oocytes, a critical stage in yolk accumulation, necessary to progress to subphase IIIas. In this context, the potentially increased digestive capacity for final steps of protein digestion during this phase could lead to a major availability of metabolites to support this process.
In fishes, intestinal AP is involved in several functions and is an index of the maintenance of intestinal homeostasis (Lallès, 2020; Pérez-Sirkin et al., 2020). The absence of changes in AP activity suggests that O. argentinensis could maintain intestinal functionality consistently throughout the different phases of ovary development. Changes in the length of the gut and therefore variations in surface area and total volume can affect both digestion and absorption and impact body condition in various fish (Krogdahl et al., 2005; Vidal et al., 2019; Small, 2022). The absence of changes in the IC among the three ovary development phases pointed out that this would not be the case for the resident population of O. argentinensis from MChCL. Furthermore, the unchanged IC throughout the ovarian development suggested that the variations in APN activity could be due to the modulation of the preexisting enzymes by chemical messengers, or by the synthesis and degradation of the enzymes, rather than changes in the intestinal structure or morphology (Albanesi et al., 2023).
Levels and types of energy reserves are an expression of the metabolic characteristics of an animal (del Valle, López Mañanes, 2012). The amount of glycogen stored and/or mobilized in the liver depends on different factors faced by the fishes (Coban, Sen, 2011). Similarly to other fishes (Tolussi et al., 2018), the lower concentration in actively spawning subphase (IIIas) indicates a mobilization (e.g., degradation) of glycogen reserves in liver upon active spawning in O. argentinensis. This decrease in liver glycogen storage could support energy demands for oocyte growth and development. The fact that the decreased glycogen concentration did not result in an enhancement of free glucose suggests that liver of O. argentinensis can act as a source of glucose for other tissues. In several fish the liver has a central role in maintaining glucose homeostasis (Polakof et al., 2012; Albanesi et al., 2024). In some fishes, muscle glycogen content is lowest during the breeding period (Coban, Sen, 2011). This appears to be the case for O. argentinensis since the diminished glycogen concentration in muscle point out the mobilization of this reserve during the spawning capable phase (III). The concomitant enhancement in free glucose concentration would lead to an increased availability of this metabolite to be used locally in muscle. This could sustain the glucose requirements for movements inside Zone III/ freshwater tributaries of specimens in phase III while searching for proper conditions for spawning. The glycogen concentration in muscle, which is the main source of energy that fishes use to swim, can vary depending on the needs of the fish such as for rapid movement (Hardy, Kaushik, 2021). On the other hand, the increase of glycogen concentration in muscle of O. argentinensis along with the decrease in free glucose concentration suggests the re-building of the reserve in actively spawning subphase (IIIas). In fish, skeletal muscle is the main glucose entry site via a specific glucose transporter subjected to regulation (Yang et al., 2021).
In fishes, TG stored in the liver, muscle and/or adipose tissue constitute a main source of energy for physiological processes such as growth, reproduction and movement, including migration (Steinberg, 2018; Small, 2022). The unchanged TG concentration in liver and muscle in phases II, III and subphase IIIas, suggests that adjustments in key components of the lipid metabolism in these organs are not involved throughout the gonadal development and spawning. The decrease in TG concentration in subphase IIIas point to that intestinal fat could be a source of lipid metabolites to meet the energy demands of the gonadal maturation. The fact that TG concentration was only varied in the intestinal fat suggests the occurrence of tissue-specific modulation of lipids reserves during active spawning subphase. In other fishes, TG in intestinal fat is an important fuel reserve for facing the energy cost of reproduction (Huynh et al., 2007; Weil et al., 2013).
Protein content in fish may vary in response to certain conditions such as the season, effect of spawning and migration, and food availability (Abdullahi, 2001). Liver proteins content is not expected to change, due to its structural role (Medford, Mackay, 1978; Hardy, Kaushik, 2021). This appears to be the case for O. argentinensis in different gonadal maturity phases, since no differences in liver protein reservewere found. On the opposite, muscle protein concentration decreased in subphase IIIas, suggesting that protein reserves in muscle would be mobilized to face the energy demand for spawning.
In conclusion, this study confirms the differential modulation of key components of carbohydrate, lipid, and protein metabolism (Fig. 7), suggesting that O. argentinensis from MChCL undergoes a metabolic reorganisation to maintain and even improve the physiological condition during their gonadal maturation and active spawning. The findings shed light on the remarkable adaptability of this population of O. argentinensis to fluctuating environmental conditions. Further research, comparing different months throughout the whole spawning season, may provide deeper insights into the energy dynamics of this remarkable evolutionarily significant unit of O. argentinensis from MChCL during the reproductive season.
FIGURE 7| Summary of morphological, digestive and metabolic parameters at different phases of ovary development of Odontesthes argentinensis. GSI: gonadosomatic index; HIS: hepatosomatic index; IC: intestinal coefficient; CFK: condition factor of Fulton; Mal: maltase; APN: aminopeptidase-N; AP: alkaline phosphatase; Gly: glycogen; FG: free glucose; TG: triglycerides; Prot: protein. Comparisons were made between phases as is described in Results. ↑, ↓, = indicate increase, decrease and unchanged, respectively.
References
Abdullahi SA. Investigation on nutritional status of Chrysicthys nigrodigitatus, Barus filamentous and Aucheoglanis occidentalis (Family: Bagridae). J Arid Zone Fish. 2001; 1:39–50.
Aksnes A, Gjerde B, Roald SO. Biological, chemical and organoleptic changes during maturation of farmed Atlantic salmon, Salmo salar. Aquaculture. 1986; 53(1):7–20. https://doi.org/10.1016/0044-8486(86)90295-4
Albanesi C, González-Castro M, López-Mañanes A. Prejuveniles of Mugil liza (Actinopterygii; Fam. Mugilidae) show digestive and metabolic flexibility upon different postprandial times and refeeding. J Comp Physiol B. 2022; 192(5):561–73. https://doi.org/10.1007/s00360-022-01438-5
Albanesi C, González-Castro M, López-Mañanes A. Differential digestive and metabolic profile of juveniles and adults of the estuarine-dependent marine fish Mugil liza (Mugilidae) cohabiting inside a southwestern Atlantic coastal lagoon. Can J Zool. 2023; 101(12):1079–92. https://doi.org/10.1139/cjz-2023-0111
Albanesi CP, Méndez E, Michiels MS, Radonic M, López A, López-Mañanes AA. Differential modulation of digestive enzymes and energy reserves at different times after feeding in juveniles of the marine estuarine-dependent flatfish Paralichthys orbignyanus (Valenciennes, 1839). J Fish Biol. 2024; 104(1):34–43. https://onlinelibrary.wiley.com/doi/pdf/10.1111/jfb.15562
Albanesi CP, Radonic M, Lopez HA, Lopez Mañanes AA. Phenotypic flexibility in juvenile flounder Paralichthys orbignyanus (Valenciennes, 1839): differential modulation of digestive enzymes and energy reserves in relation to diet. PANAMJAS. 2021; 16(1):79–89.
Beheregaray LB, Levy JA. Population genetics of the silverside Odontesthes argentinensis (Teleostei, Atherinopsidae): evidence for speciation in an estuary of Southern Brazil. Copeia. 2000; 2000(2):441–47. https://doi.org/10.1643/0045-8511(2000)000[0441:PGOTSO]2.0.CO;2
Bilski J, Mazur-Bialy A, Wojcik D, Zahradnik-Bilska J, Brzozowski B, Magierowski M et al. The role of intestinal alkaline phosphatase in inflammatory disorders of gastrointestinal tract. Mediators Inflamm. 2017; 9074601. https://doi.org/10.1155/2017/9074601
Bradford MM. A rapid and sensitive method for the quantitation of microgram quantities of protein utilizing the principle of protein dye binding. Anal Biochem. 1976; 72(1–2):248–54. https://doi.org/10.1016/0003-2697(76)90527-3
Brown-Peterson NJ, Wyanski DM, Saborido-Rey F, Macewicz BJ, Lowerre-Barbieri SK. A standardized terminology for describing reproductive development in fishes. Mar Coast Fish. 2011; 3(1):52–70. https://doi.org/10.1080/19425120.2011.555724
do Carmo Silva JP, Costa MR, Araújo FG. Energy acquisition and allocation to the gonadal development of Cynoscion leiachus (Perciformes, Sciaenidae) in a tropical Brazilian bay. Mar Biol Res. 2019; 15(2):170–80. https://doi.org/10.1080/17451000.2019.1610777
Cassidy AA, Saulnier RJ, Lamarre SG. Adjustments of protein metabolism in fasting Arctic charr, Salvelinus alpinus. PLoS ONE. 2016; 11(4):e0153364. https://doi.org/10.1371/journal.pone.0153364
Coban MZ, Sen D. Examination of liver and muscle glycogen and blood glucose levels of Capoeta umbla (Heckel, 1843) living in Hazar Lake and Keban Dam Lake (Elazig, Turkey). Afr J Biotechnol. 2011; 10(50):10271–79. https://doi.org/10.5897/AJB11.807
Colautti DC, Miranda L, González-Castro M, Villanova V, Strüssmann CA, Mancini M et al. Evidence of a landlocked reproducing population of the marine pejerrey Odontesthes argentinensis (Actinopterygii; Atherinopsidae). J Fish Biol. 2020; 96(1):202–16. https://doi.org/10.1111/jfb.14207
Cousseau MB, Perrotta RG. Peces marinos de Argentina: biología, distribución, pesca. Mar del Plata: INIDEP; 2013.
Dambo A, Solomon SG, Ayuba VO, Okayi RG. Study on condition factor and hepatosomatic index of Bagrus bayad (Forsskal, 1775) and Synodontis nigrita (Valenciennes, 1840) from Kangimi Reservoir, Kaduna State, Nigeria. BAJOPAS. 2021; 14(2):192–97. https://doi.org/10.4314/bajopas.v14i2.23
Di Dario F, Santos VLM, Pereira MMS. Short communication range extension of Odontesthes argentinensis (Valenciennes, 1835) (Teleostei: Atherinopsidae) in the southwestern Atlantic, with additional records in the Rio de Janeiro State, Brazil. J Appl Ichthyol. 2014; 30:421–23. https://doi.org/10.1111/jai.12393
Domínguez-Petit R, Saborido-Rey F. New bioenergetic perspective of European hake (Merluccius merluccius L.) reproductive ecology. Fish Res. 2010; 104(1–3):83–88. https://doi.org/10.1016/j.fishres.2009.09.002
Ducatelle R, Goossens E, De Meyer F, Eeckhaut V, Antonissen G, Haesebrouck F et al. Biomarkers for monitoring intestinal health in poultry: present status and future perspectives. Vet Res. 2018; 49(43):1–09. https://doi.org/10.1186/s13567-018-0538-6
Dyer BS. Revisión sistemática de los pejerreyes de Chile (Teleostei, Atheriniformes). Estud Oceanol Fac Recurs Mar Univ Antofagasta. 2000; 19:99–127.
Dyer BS. Systematic revision of the South American silversides (Teleostei, Atheriniformes). Biocell. 2006; 30(1):69–88. Available from: http://www.scielo.org.ar/pdf/biocell/v30n1/v30n1a10.pdf
Eastwood S, Couture P. Seasonal variations in condition and liver metal concentrations of yellow perch (Perca flavescens) from a metal-contaminated environment. Aquat Toxicol. 2002; 58(1–2):43–56. https://doi.org/10.1016/S0166-445X(01)00218-1
Estaki M, DeCoffe D, Gibson DL. Interplay between intestinal alkaline phosphatase, diet, gut microbes and immunity. World J Gastroenterol. 2014; 20(42):15650–56. https://doi.org/10.3748/wjg.v20.i42.15650
Ghalambor CK, McKay JK, Carroll SP, Reznick DN. Adaptive versus non-adaptive phenotypic plasticity and the potential for contemporary adaptation in new environments. Funct Ecol. 2007; 21(3):394–407. https://doi.org/10.1111/j.1365-2435.2007.01283.x
González-Castro M, Cardoso YP, Hughes LC, Ortí G. Hybridization is strongly constrained by salinity during secondary contact between silverside fishes (Odontesthes, Atheriniformes). Heredity. 2022; 129(4):233–43. https://doi.org/10.1038/s41437-022-00555-9
González-Castro M, Díaz de Astarloa JM, Cousseau MB, Figueroa DE, Delpiani SM, Bruno DO et al. Fish composition in a South-Western Atlantic temperate coastal lagoon: spatial-temporal variation and relationships with environmental variables. J Mar Biol Assoc UK. 2009; 89(3):593–660. https://doi.org/10.1017/S0025315409003002
González-Castro M, Rosso JJ, Delpiani SM, Mabragaña E, Díaz de Astarloa JM. Inferring boundaries among fish species of the new world silversides (Atherinopsidae; genus Odontesthes): new evidences of incipient speciation between marine and brackish populations of Odontesthes argentinensis. Genetica. 2019; 147:217–29. https://doi.org/10.1007/s10709-019-00066-2
González-Castro M, Rosso JJ, Mabragaña E, Diaz de Astarloa JM. Surfing among species, populations and morphotypes: inferring boundaries between two species of new world silversides (Atherinopsidae). Compt Res Biol. 2016; 339(1):10–23. https://doi.org/10.1016/j.crvi.2015.11.004
Guraya SS. The biology of gonadal development, sex differentiation and maturation, and sex reversal in fish: cellular, molecular and endocrinological aspects. Proc Indian Natl Sci Acad B Biol Sci. 2000; 66(4–5):167–94.
Hardy RW, Kaushik SJ, editors. Fish nutrition. Academic press; 2021.
Helfman S, Collette BB, Facey DE, Bowen BW. The diversity of fishes: biology, evolution and ecology. John Wiley & Sons; 2009.
Holt GJ, editor. Larval fish nutrition. Chichester: John Wiley & Sons; 2011.
Hughes LC, Cardoso YP, Sommer JA, Cifuentes R, Cuello M, Somoza GM et al. Biogeography, habitat transitions and hybridization in a radiation of South American silverside fishes revealed by mitochondrial and genomic RAD data. Mol Ecol. 2020; 29(4):738–51. https://doi.org/10.1111/mec.15350
Huynh MD, Kitts DD, Hu C, Trites AW. Comparison of fatty acid profiles of spawning and non-spawning Pacific herring, Clupea harengus pallasi. Comp Biochem Physiol B Biochem Mol Biol. 2007; 146(4):504–11. https://doi.org/10.1016/j.cbpb.2006.11.023
Kanno Y, Locklear ML, Platis NM, Lewis ST. Body condition metrics explain fish movement in experimental streams. J Zool. 2023; 320(1):18–28. https://doi.org/10.1111/jzo.13049
Karasov WH, Douglas AE. Comparative digestive physiology. Compr Physiol. 2013; 3(2):741–83. https://doi.org/10.1002/cphy.c110054
Krogdahl A, Bakke-McKellep AM. Fasting and refeeding cause rapid changes in intestinal tissue mass and digestive enzyme capacities of Atlantic salmon (Salmo salar L.). Comp Biochem Physiol A Mol Integr Physiol. 2005; 141(4):450–60. https://doi.org/10.1016/j.cbpb.2005.06.002
Lallès J-P. Intestinal alkaline phosphatase: novel functions and protective effects. Nutr Rev. 2014; 72(2):82–94. https://doi.org/10.1111/nure.12082
Lallès J-P. Intestinal alkaline phosphatase in the gastrointestinal tract of fish: biology, ontogeny, and environmental and nutritional modulation. Rev Aquac. 2020; 12(2):555–81. https://doi.org/10.1111/raq.12340
Levy E, Canel D, Rossin MA, González-Castro M, Timi JT. Parasite assemblages as indicators of an incipient speciation process of Odontesthes argentinensis in an estuarine environment. Estuar Coast Shelf Sci. 2021; 250:107168. https://doi.org/10.1016/j.ecss.2021.107168
Llompart FM. La ictiofauna de Bahía San Blas (Prov. de Buenos Aires) y su relación con la dinámica de las pesquerías deportiva y artesanal. [PhD Thesis]. La Plata: Universidad Nacional de La Plata; 2011.
Llompart FM, Colautti DC, Maiztegui T, Cruz-Jiménez AM, Baigún CRM. Biological traits and growth patterns of pejerrey Odontesthes argentinensis. J Fish Biol. 2013; 82(2):458–74. https://doi.org/10.1111/j.1095-8649.2012.03494.x
Lloret J, Sola LG, Souplet A, Galzin R. Effects of large-scale habitat variability on condition of demersal exploited fish in the north-western Mediterranean. ICES J Mar Sci. 2002; 59(6):1215–12. https://doi.org/10.1006/jmsc.2002.1294
Marquez M, Ferrero L, Cusminsky GC. Intertidal foraminifera from the Mar Chiquita Coastal Lagoon, Buenos Aires Province, Argentina. Estuar Coast Shelf Sci. 2022; 276:108000. https://doi.org/10.1016/j.ecss.2022.108000
Medford BA, Mackay WC. Protein and lipid content of gonads, liver, and muscle of northern pike (Esox lucius) in relation to gonad growth. J Biol Board Can. 1978; 35(2):213–19. https://doi.org/10.1139/f78-035
Méndez E, Michiels MS, Lopez Mañanes AA. The influence of habitat on metabolic and digestive parameters in an intertidal crab from a SW Atlantic coastal lagoon. Belg J Zool. 2021; 151:81–98. https://doi.org/10.26496/bjz.2021.87
Michiels MS, del Valle JC, López Mañanes AA. Biochemical characteristics and modulation by external and internal factors of aminopeptidase-N activity in the hepatopancreas of a euryhaline burrowing crab. J Comp Physiol B Biochem Syst Environ Physiol. 2015; 185:501–10. https://doi.org/10.1007/s00360-015-0899-3
Michiels MS, del Valle JC, López Mañanes AA. Trypsin and N- aminopeptidase (APN) activities in the hepatopancreas of an intertidal euryhaline crab: biochemical characteristics and differential modulation by histamine and salinity. Comp Biochem Physiol Part A Mol Integr Physiol. 2017; 204:228–35. https://doi.org/10.1016/j.cbpa.2016.12.003
Militelli MI, Macchi G. Spawning and fecundity of striped weakfish, Cynoscion guatucupa, in the Río de la Plata estuary and adjacent marine waters, Argentina-Uruguay. Fish Res. 2006; 77(1):110–14. https://doi.org/10.1016/j.fishres.2005.08.004
Morato T, Afonso P, Lourinho P, Barreiros JP, Santos RS, Nash RDM. Length-weight relationships for 21 coastal fish species of the Azores, north-eastern Atlantic. Fish Res. 2001; 50(3):297–302. https://doi.org/10.1016/S0165-7836(00)00215-0
Moresco A, Bemvenuti MA. Biologia reprodutiva do peixe-rei Odontesthes argentinensis (Valenciennes) (Atherinopsidae) da região marinha costeira do sul do Brasil. Rev Bras Zool. 2006; 23(4):1168–74. https://doi.org/10.1590/S0101-81752006000400025
Nagahama S, Fujimaki M, Kawabe H, Nakamura R, Saito I, Saruta T. Effect of metoclopramide on the secretion of aldosterone and other adrenocortical steroids. Clin Endocrinol. 1983; 18(3):287–93. https://doi.org/10.1111/j.1365-2265.1983.tb03213.x
Palazón-Fernández JL, Arias AM, Sarasquete C. Aspects of the reproductive biology of the toadfish, Halobatrachus didactylus (Schneider, 1801) (Pisces: Batrachoididae). Sci Mar. 2001; 65(2):131–38. https://doi.org/10.3989/scimar.2001.65n2131
Pérez-Sirkin DI, Solovyev M, Delgadin TH, Herdman JE, Miranda LA, Somoza GM et al. Digestive enzyme activities during pejerrey (Odontesthes bonariensis) ontogeny. Aquaculture. 2020; 524:735151. https://doi.org/10.1016/j.aquaculture.2020.735151
Polakof S, Panserat S, Soengas JL, Moon TW. Glucose metabolism in fish: a review. J Comp Physiol B. 2012; 182(8):1015–45. https://doi.org/10.1007/s00360-012-0658-7
Pradhan PK, Jena J, Mitra G, Sood N, Gisbert E. Ontogeny of the digestive enzymes in butter catfish Ompok bimaculatus (Bloch) larvae. Aquaculture. 2013; 372:62–69. https://doi.org/10.1016/j.aquaculture.2012.10.024
Reta RP, Martos P, Perillo GME, Piccolo MC, Ferrante A. Características hidrográficas del estuario de la laguna Mar Chiquita. In: Iribarne O, editor. Reserva de Biosfera Mar Chiquita: características físicas. Biológicas y Ecológicas. Mar del Plata, Argentina: Editorial Martín; 2001. p.31–52.
Roncari G, Zuber H. Thermophilic aminopeptidases from Bacillus stearothermophilus. I. Isolation, specificity, and general properties of the thermostable aminopeptidase I. Int. J. Protein Res. 1969; 1(1–4):45–61. https://doi.org/10.1111/j.1399-3011.1969.tb01625.x
Small BC. Nutritional physiology. In: Hardy RW, Kaushik SJ, editors. Fish Nutrition. Elsevier Academic Press. 2022. p.593–641. https://doi.org/10.1016/B978-0-12-819587-1.01001-6
Šmejkal M, Ricard D, Vejřík L, Mrkvička T, Vebrová L, Baran R et al. Seasonal and daily protandry in a cyprinid fish. Sci Rep. 2017; 7(1):4737. https://doi.org/10.1038/s41598-017-04827-x
Steinberg CEW. Diets and digestive tracts – ‘Your food determines your intestine’. In: Steinberg CE, editor. Aquatic Animal Nutrition: a mechanistic perspective from individuals to generations. Springer: Cham; 2018. p.9–59. https://doi.org/10.1007/978-3-319-91767-2_2
Tolussi CE, Gomes AD, Ribeiro CS, Caneppele D, Moreira RG, Honji RM. Mobilization of energetic substrates in the endangered catfish Steindachneridion parahybae (Siluriformes: Pimelodidae): changes in annual reproductive cycle in captivity. Neotrop Ichthyol. 2018; 16(2):e170120. https://doi.org/10.1590/1982-0224-20170120
Tyler CR, Sumpter JP. Oocyte growth and development in teleosts. Rev Fish Biol Fish. 1996; 6:287–318. https://doi.org/10.1007/BF00122584
Vagnon C, Sentis A, Gerfand B, Guillard J, Raymond J-C, Loheac B et al. Persisting in extreme environments: what are the drivers of body conditions of introduced fish in high mountain lakes? Freshw Biol. 2024; 69(2):254–65. https://doi.org/10.1111/fwb.14208
del Valle JC, López Mañanes AA. Fisiología integrativa y adaptativa de roedores subterráneos Ctenomys talarum: modelo de estudio de cambios plásticos frente a variaciones del ambiente y de demanda energética. LAP Lambert Academic Publishing GmbH&Co. Editorial Académica Española; 2012.
del Valle JC, Michiels MS, López Mañanes AA. Digestive and metabolic profile at the biochemical level of juvenile flounder Paralichthys orbignyanus (Valenciennes, 1839) (Pleuronectiformes: Paralichthyidae). PANAMJAS. 2016; 11(4):309–23.
Vidal N, González-Bergonzoni I, Naya DE. The effect of fasting on nutritional status, organs size and isotopic composition in a Neotropical fish species (Jenynsia multidentata). Hydrobiologia. 2019; 828:73–82. https://doi.org/10.1007/s10750-018-3803-9
Waples RS. Salmonid insight into effective population size. In: Hendry AP, Stearns SC, editors. Evolution illuminated: salmon and their relatives. Oxford, U. K.: Oxford Univ. Press; 2004. p.295–314.
Weil C, Lefèvre F, Bugeon J. Characteristics and metabolism of different adipose tissues in fish. Rev Fish Biol Fish. 2013; 23:157–73. https://doi.org/10.1007/s11160-012-9288-0
Wolf N, Garcia S, Harris BP, Howard KG. Stable isotopes, morphology, and body condition metrics suggest similarity in the trophic level and diversity in the carbon sources of freshwater and early marine diets of Chinook salmon. Mar Biol. 2024; 171(4):75. https://doi.org/10.1007/s00227-024-04392-8
Yang M, Deng K, Pan M, Gu Z, Liu D, Zhang Y et al. Glucose and lipid metabolic adaptations during postprandial starvation of Japanese flounder Paralichthys olivaceus previously fed different. Aquaculture. 2019; 501:416–29. https://doi.org/10.1016/j.aquaculture.2018.12.003
Yang L, Zhi S, Yang G, Qin C, Yan X, Niu M et al. Molecular identification of glucose transporter 4: the responsiveness to starvation, glucose, insulin and glucagon on glucose transporter 4 in common carp (Cyprinus carpio L.). J Fish Biol. 2021; 99(6):1843–56. https://doi.org/10.1111/jfb.14885
Authors
Eugenia Mendez1,
Camila Albanesi1,
María Soledad Michiels1,
Alejanda López-Mañanes1 and
Mariano González-Castro1 ![]()
[1] Instituto de Investigaciones Marinas y Costeras (IIMyC), Universidad Nacional de Mar del Plata CONICET – FCEyN, Funes 3250 (7600) Mar del Plata, Argentina. (EM) mendezeugenia@hotmail.com, (CA) camila.albanesi2@gmail.com, (MSM) michiels@mdp.edu.ar, (ALM) mananes@mdp.edu.ar, (MGC) gocastro@mdp.edu.ar (corresponding author).
Authors’ Contribution 

Eugenia Mendez: Conceptualization, Data curation, Formal analysis, Investigation, Methodology, Software, Validation, Visualization, Writing-original draft, Writing-review and editing.
Camila Albanesi: Data curation, Formal analysis, Investigation, Methodology, Software.
María Soledad Michiels: Data curation, Formal analysis, Investigation, Methodology, Software.
Alejanda López-Mañanes: Conceptualization, Data curation, Funding acquisition, Investigation, Methodology, Project administration, Resources, Software, Supervision, Validation, Visualization, Writing-original draft, Writing-review and editing.
Mariano González-Castro: Conceptualization, Data curation, Formal analysis, Funding acquisition, Investigation, Methodology, Project administration, Resources, Supervision, Visualization, Writing-original draft, Writing-review and editing.
Ethical Statement
This study was approved (RD 2022–105, FCEyN) and conducted following the regulations and statements of Ethics Committee CICUAL (OCA 1499/12; FCEyN, UNMdP, Argentina).
Competing Interests
The author declares no competing interests.
How to cite this article
Mendez E, Albanesi C, Michiels MS, López-Mañanes A, González-Castro M. Analyses of body condition and digestive/metabolic parameters of Odontesthes argentinensis (Atherinopsidae) from Mar Chiquita Coastal Lagoon (Argentina) during different phases of ovarian development. Neotrop Ichthyol. 2024; 22(3):e230139. https://doi.org/10.1590/1982-0224-2023-0139
Copyright
This is an open access article under the terms of the Creative Commons Attribution License, which permits use, distribution and reproduction in any medium, provided the original work is properly cited.
Distributed under
Creative Commons CC-BY 4.0

© 2024 The Authors.
Diversity and Distributions Published by SBI
Accepted June 20, 2024 by Elizete Rizzo
Submitted July 14, 2023
Epub October 07, 2024








