Tomás Maiztegui1,2
,
Ariel Hernán Paracampo2,
Jorge Liotta3,
Eva Cabanellas2,
Carlos Bonetto2 and
Darío César Colautti2
PDF: EN XML: EN | Cite this article
Abstract
Few studies have addressed the composition of fish assemblages of the freshwater Río de la Plata (RdlP) and have only been limited to species lists gathered over the last two centuries. As such inventories have never been reviewed or validated by fish sampling, the richness and structure of RdlP fish assemblage are poorly known. Hence, we conducted an exhaustive literature review and a fieldwork in six coastal points of Argentina to update the species composition and determine the hierarchical structure of the fish assemblage. From the 206 species registered in the literature, 48 were not confirmed, 13 were absent, five were taken as synonymized species, 29 were supported by literature and 107 were confirmed; one was an established exotic species, and three were a non-established exotic species. The findings reported here suggest that the fish assemblage currently comprises 141 species, including four new records. Analysis of fieldwork data in number and weight of fish captured resulted in an assemblage hierarchical structure of five dominant, 22 frequent, and 45 rare species; 16 dominant, 11 frequent, and 45 rare taxa, respectively. These results could be used as baseline to monitor, manage, and preserve neotropical fish species in their southern distribution boundary.
Keywords: Biodiversity, Conservation, Ichthyofauna, Neotropics, Richness.
El conocimiento de los ensambles de peces del sector dulceacuícola del Río de la Plata (RdlP) es escaso y limitado a listas de especies de compilaciones realizadas en los últimos dos siglos. Como esos inventarios nunca han sido revisados o validados mediante muestreos de peces, el conocimiento respecto de la riqueza y la estructura de los ensambles del RdlP resulta deficiente. Para ordenar y mejorar la información acerca de la riqueza y estructura de los ensambles de peces del área se realizó una revisión bibliográfica y un muestreo de campo para actualizar la composición de especies y determinar la estructura jerárquica del ensamble de peces. De las 206 especies colectadas de acuerdo a la bibliografía 48 se categorizaron como no reconfirmadas, 13 como ausentes, cinco como especies sinonimizadas, 29 como soportadas por la literatura, 107 como confirmadas, una exótica establecida y tres exóticas no establecidas. Los resultados sugieren que el ensamble de peces actualmente está compuesto por 141 especies, incluyendo cuatro nuevos registros. El análisis de los datos en número y en peso de los peces colectados mostró 5 especies dominantes, 22 frecuentes y 45 raras; y 16 dominantes, 11 frecuentes y 45 raras, respectivamente. Los resultados de este trabajo pueden ser usados como línea de base para el monitoreo, manejo y conservación de las especies de peces neotropicales en su límite de distribución sur.
Palabras clave: Biodiversidad, Conservación, Ictiofauna, Neotrópico, Riqueza.
Introduction
Freshwater ecosystems such as rivers, ponds, lakes, and streams are essential for human survival. Yet, they are among the most degraded habitats of the world (Dudgeon et al., 2006), making freshwater species the most threatened on Earth. Alarmingly, loss of freshwater biodiversity is mounting fast (Kumar, 2000; Sala et al., 2000) due to anthropogenic activity such as habitat alteration, water pollution, introduction of exotic species, and overexploitation of natural resources (Dudgeon et al., 2006; Arthington et al., 2010; Liermann et al., 2012; Pelicice et al., 2021).
Vitule et al. (2016) stated that loss of freshwater fish biodiversity cannot be measured simply by the number of threatened species or of species that became extinct, arguing that a decrease in freshwater fish populations, threatened or not, may drastically alter the ecosystem functioning. Moreover, research into the biological diversity of freshwater ecosystems is yet limited (Stiassny, 2002). As inventories allow assessing the presence of species or infer their absence within an area (Morrison et al., 2008), greater insights are required to develop the basis for measuring the biodiversity of species. Green et al. (2009) claimed that inventories made from compendiums of information previously collected from an area show all the inherent limitations associated with non-quantitative methodologies. From studies of the vulnerability of freshwater fish diversity (Tedesco et al., 2017) derived the need to generate updated quali-quantitative ichthyological research used as a basis to evaluate species conservation and extinction risk, particularly in South America (Baigún et al., 2012). For instance, Jaureguizar et al. (2015) on the basis of the abundance and relative frequency of each species, typified the components of fish assemblage on the Argentinean estuarine-marine coast. Such approach had led to a thorough understanding to improve or develop integral conservation policies, strategic management decisions, and/or accurate environmental impact assessments.
The Río de la Plata (RdlP) is the collector of the La Plata River basin, the second largest watershed in South America, draining a surface of almost three million km2 (Pasquini, Depetris, 2007) and representing the third most diverse basin of the continent with more than 900 fish taxa (Reis et al., 2016). Although ichthyological studies have been conducted on freshwater RdlP and neighboring streams scattered on the space and time scales, most are related to governmental reports centered on the relevant species for local fisheries (CARP-INIDEP-INAPE, 1990; CARU, 1992; CARU-CARP, 2012; 2016); hence, fish assemblages are still being poorly understood (Llompart et al., 2012). According to Baigún et al. (2012), 26% of the fish found in the lower La Plata River basin are classified as Data Deficient (IUCN), due to lack of information on their population and distribution. RdlP is the meridional edge of the Lower Paraná Ecoregion (Abell et al., 2008), which constitutes the distribution boundary for the most representatives of freshwater Neotropical fish (Ringuelet, 1975).
Bibliographic compilations describing the composition of the freshwater fish of RdlP were provided by Nion (1998), López et al. (2003), and Volpedo et al. (2010), recording approximately 170 species in the area. However, one of the main issues arising from these inventories is that compilers used the exhaustive work of Ringuelet et al. (1967) as a reference. This pioneer study represents the first Argentinean fish species list based on specimens collected in field samplings and on bibliographic compilations. Over the last twenty years, extensive reviews have been made for the freshwater ichthyofauna of Argentina and Uruguay, and several species have been synonymized or disregarded as part of the fish fauna of those countries (Litz, Koerber, 2014; Koerber et al., 2016a,b; 2020; Mirande, Koerber, 2020). However, the validity of fish records, the actual number of species, their frequency of occurrence, and abundance in the area have not been reviewed nor have they been contrasted with current surveys. This indicates a need to review and updated lists of current freshwater fish living in the RdlP, based on a quantitative approach.
In addition, freshwater RdlP is subject to environmental pollution due to the large urban and industrial centers located on its coast (AA-AGOSBA-OSN-SHN, 1992; FREPLATA, 2004), threatening the fish biodiversity inhabiting this ecosystem. Thus, the revision and characterization of the composition, distribution and community of fish species present in this area and their hierarchical structure within the assemblage will provide the foundation for assessing the conservation status of species, assemblages, and fisheries.
Material and methods
Study area. The RdlP system is located on the western South American Atlantic coast (35°S 58°W) and can be defined as a funnel coastal plain tidal river with a semi-closed shelf at the mouth (Baigún et al., 2016). This extensive environment is divided into two main areas by the submersed shoal known as Barra del Indio that crosses the river transversally (Fig. 1): the riverine zone (< 5 Practical Salinity Units: PSU) and the estuarine zone (> 5 PSU) (Guerrero et al., 1997; Baigún et al., 2016). The riverine zone is a shallow area not exceeding 5 m deep, characterized by a silty sand bottom that gradually turns to silt into the estuarine zone (Wells, Daborn, 1998). The main tributaries of the riverine RdlP are the Paraná and Uruguay rivers, providing 97% of the freshwater inflow (Guerrero et al., 1997), together with several streams draining its coasts. Despite its main fluvial regime, this area also exhibits tidal influence (Balay, 1961), allowing a dynamic interaction between freshwater-brackish waters that can be highly affected by the wind action (Simionato et al., 2007).
From an ichthyogeographical approach, Ringuelet (1975) argued that La Plata city (Fig. 1), and its surroundings, should be considered as the boundary where most freshwater fish fauna of La Plata River basin lives, due to a pauperization of taxa related to the saline gradient towards the estuary. However, López et al. (2002, 2008) extended the area of freshwater fish downstream, closer to the estuarine zone. For the present work, the study area comprised the Río de la Plata stretch from the mouth of Paraná (downstream the “Delta”) and Uruguay rivers (downstream the locality of “Punta Gorda”) to the imaginary line from La Balandra (Argentina) to Juan Lacaze (Uruguay) in opposite banks, hereinafter referred to as “freshwater RdlP” (Fig. 1). Such places were defined as limit because the last two stable freshwater fisheries of RdlP are placed in their banks, in the middle of the limits proposed by Ringuelet (1975) and López et al. (2002; 2008).
FIGURE 1| Division of the Río de la Plata (RdlP) by the Barra del Indio shoal, in a riverine zone and an estuarine zone (FREPLATA, 2005), showing the sampled sites (black circles) and the limits of the area of freshwater RdlP considered for this study.
Literature review. Based on the list of freshwater fishes performed by López et al. (2003), species mentioned for the area in scientific literature, and our own fieldwork, a review of the species recorded for the freshwater RdlP was performed. The mention of each species was revised through the geographical distribution database of freshwater fishes from Argentina (Liotta, 2020). This online data source compile georeferenced information published in around 690 scientific publications on the distribution of inland fishes of the country. Furthermore, we conducted a systematic search in the Web of Science (WOS – in all fields) and Google Scholar database on Jan-2022, using the keywords: “scientific name” of each species and “rio de la Plata” (i.e., Prochilodus lineatus Río de la Plata). After these searches, around 1000 ichthyologycal documents were obtained including journal papers, governmental technical reports, books, conference presentations, and PhD theses. Then, we reviewed titles, abstracts and in many cases the full text of each document retaining only the surveys with actual fieldwork and capture location inside the delineated study area, obtaining 119 documents. The species were sorted in a list of fish species mentioned for the freshwater RdlP, following the classification of Nelson et al. (2016) and changes in taxonomy were reviewed and updated following Fricke et al. (2022). Each species was analyzed to confirm the number of records, defined as the number of times that the species were registered in field studies in the literature. Also, to this figure we added the species registered in our fieldwork as one more record. To solve old metadata replication from Ringuelet et al. (1967), species registered once with collection date before this work or older, and taxa without first record traceable were considered as “not confirmed”. Such timeframe in the history of ichthyological studies of RdlP was defined considering the publication date of the study of the distribution of fish species in Argentina conducted by Ringuelet et al. (1967). The review of the list also included the analysis of species included in the last lists of freshwater fish species from Argentina (Mirande, Koerber, 2015; Koerber et al., 2016a, 2020) and Uruguay (Teixeira de Mello et al., 2011; Litz, Koerber, 2014; Koerber, Litz, 2016b; Koerber et al., 2020, 2021). The species previously mentioned for the study area, but not included in these lists, were categorized as “absent” for the freshwater RdlP and excluded from further analysis. In addition, species currently considered junior synonyms of other species those documented in the study area were referred to as “synonymized species”. The remaining taxa, cited for Argentina and Uruguay within the study area, were categorized based on the absence or existence of specimens in ichthyological collections as “supported by literature” or “confirmed”, respectively. The non-native species were grouped as “established exotic species” and “non-established exotic species”, following Maiztegui et al. (2016), García Romero et al. (1998), and Liotta, Giacosa (2017).
Fieldwork. A fish sampling was carried out in freshwater RdlP at six sampling sites, along 35 km of the coastline between 34°46’56.0”S 58°00’39.9”W and 34°55’43.2”S 57°42’45.6”W (Fig. 1). Four seasonal fish samplings were performed from April 2016 to May 2017, using two fyke net with a rectangular mesh 10 x 5 mm (Colautti, 1998) and two trammel nets at each site, 25 m length and 1.9 m height each, with an inner mesh of 19 mm and 21 mm bar for one net, and 27 mm and 30 mm bar for the other net. The external mesh was 130 mm bar for both trammel nets. Fishing gears were arranged for one night, with a standardized effort at each site (16h). Fish were identified, counted, and weighed (g). During fieldwork, some fish were identified and released alive; others were euthanized with an overdose of benzocaine solution, fixed in 10% formaldehyde, and stored in 70% ethanol for laboratory identification. Fish were identified following Azpelicueta, Braga (1991), López, Miquelarena (1991), Braga (1993, 1994), Aquino (1997), Casciotta et al. (2005), Miquelarena, Menni (2005), Miquelarena et al. (2008), and Rosso et al. (2018). Changes in taxonomy were reviewed and updated following Fricke et al. (2022). Voucher species were deposited in the ichthyology collection of the Fundación de Historia Natural Félix de Azara, Buenos Aires, Argentina (CFA-IC). In addition, species collected for the first time in the area were indicated as “new records”.
Taking into account the categories supported by literature, confirmed, established exotic species, and new records showed in the list of fish species mentioned for the freshwater RdlP, we obtained the current fish assemblage of the freshwater RdlP with their respective number of records. Meanwhile, the taxa categorized as not confirmed, absent, and synonymized species were considered as not current components.
Literature and fieldwork. Comparison and representativeness. The relative distribution of species richness within each taxonomic order was compared between the current fish assemblage from the literature and that from our fieldwork using the test of goodness fit of Kolmogorov-Smirnov (p < 0.05). In turn, we calculated the frequency distribution of species and ratio between number of species captured in our fieldwork and number of species mentioned in the literature as function of number of records.
Hierarchical structure of fish assemblage. To describe the hierarchical structure of fish species, an Olmstead-Tukey (OT) diagram (Sokal, Rohlf, 1981) was drawn from the fieldwork sampled area, categorizing each species as “dominant”, “frequent”, “occasional” or “rare”. Such classification was made according to the arrangement of species in a two-dimensional space defined by the percentage frequency of occurrence of species (occurrence %) and their catch per unit effort in fish number (CPUEn) and in fish weight (CPUEw). In both cases, values were standardized to 16h of fishing and, log transformed (ln X+1). The category obtained for each species was indicated in the list of fish species mentioned for the freshwater RdlP.
Results
From the literature, 206 native and four exotic fish species were mentioned in freshwater RdlP (Tab. 1). From the analysis of each species, the following number by categories were defined: 48 not confirmed, 13 absent, five synonymized species, 29 supported by literature, 107 confirmed, one established exotic species, and three non-established exotic species.
A total of 28,147 individuals that weighted 912,723 g, encompassing 72 species distributed in 11 orders and 28 families were captured during fieldwork (Tab. 1). This figure represents half of the fish assemblage species reported in the literature, including four new records. These taxa, together with supported by literature, confirmed, and established exotic species categories found in the literature, define a list of 141 species that should be considered as current fish assemblage of the freshwater RdlP (Tab. 1). The remaining categories: not confirmed, absent, synonymized species, and non-established exotic species, accounted 66 taxa and were considered as not current components.
TABLE 1 | List of fish species mentioned for the freshwater Río de la Plata (RdlP) with their taxonomic position, discriminating between species categorized as current and not current component of the fish assemblage. Number of records (N°Rec), references, and category provided after literature review (Cat.: NC, not confirmed; Ab, absent; SS, synonymized species; SL: supported by literature; Co, confirmed; NR, new records; EEx, established exotic species; NEx, non-established exotic species). The species captured in the sampling were classified according to Olmstead-Tukey (OT CPUEn and CPUEw: D, dominant; F, frequent; R, rare; O, occasional) and their voucher number (VN) in ichthyology collections. Museo de La Plata, Instituto de Limnologia, La Plata (MLP); Museo Argenino de Ciencias Naturales “Bernardino Rivadavia”, Buenos Aires (MACN); Laboratorio de Evolución of Facultad de Ciencias, Universidad de la República Uruguay, Montevideo (EVP); Museu de Ciências e Tecnologia, Pontifícia Universidade Católica do Rio Grande do Sul, Porto Alegre (MCP); Museo Nacional de Historia Natural y Antropologia, Zoologia, Montevideo (MHNM).
Classification | N°Rec | References | Cat. | OT | VN | |
CPUEn | CPUEw | |||||
Current components of the fish
assemblage | ||||||
CHONDRICHTHYES | ||||||
MYLIOBATIFORMES | ||||||
Potamotrygonidae | ||||||
Potamotrygon brachyura (Günther, 1880) | 3 | CARU (2012); Llompart et al.
(2012); Lucifora et al. (2015). | SL | |||
OSTEICHTHYES | ||||||
Sciaenidae | ||||||
Pachyurus bonariensis Steindachner, 1879 | 8 | Almirón (1989); Almirón et al.
(2000); Llompart et al. (2012); CARU (2012, 2016); Paracampo (2013); Paracampo et al. (2020); This study. | Co | F | CFA8064 | |
Plagioscion ternetzi Boulenger, 1895 | 8 | Almirón (1989); Almirón et al.
(2000); CARU (2012, 2016); Llompart et al. (2012); Paracampo (2013);
Paracampo et al. (2020); This study. | Co | R | CFA8049 | |
ATHERINIFORMES Atherinopsidae | ||||||
Odontesthes argentinensis (Valenciennes, 1835) | 1 | D´Anatro et al. (2020) | Co | EVP150 | ||
Odontesthes humensis de Buen, 1953 | 1 | Bogan et al. (2015). | Co | CFA4800 | ||
Odontesthes retropinnis (de Buen, 1953) | 1 | Cuello (2020). | Co | MLP9670 | ||
Odontesthes bonariensis (Valenciennes, 1835) | 14 | Almirón (1989); Almirón et al.
(2000); CARU-CARP (2012, 2016); Paracampo (2013); Avigliano, Volpedo
(2013a,b); Avigliano et al. (2015a); Valdés et al. (2015);
Valencia et al. (2017); Villanova et al. (2018); Colautti et
al. (2019); Scarabotti et al. (2021), This study. | Co | F | ||
Odontesthes perugiae Evermann & Kendall, 1906 | 1 | This study. | NR | R | CFA8087 | |
CICHLIFORMES | ||||||
Cichlidae | ||||||
Australoheros facetus (Jenyns, 1842) | 8 | Ringuelet et al. (1967);
Ringuelet et al. (1978); Almirón, García (1992); Almirón et al.
(2000); López et al. (2009); Llamazares Vegh et al. (2012);
Paracampo (2013); Paracampo et al. (2020). | Co | MLP12-XII-32-18 | ||
Cichlasoma dimerus (Heckel, 1840) | 1 | CARU-CARP (2016). | SL | |||
Crenicichla lepidota Heckel, 1840 | 1 | Llompart et al. (2012). | SL | |||
Crenicichla scottii (Eigenmann, 1907) | 2 | Llamazares Vegh et al. (2012);
Paracampo (2013). | Co | CFA2191 | ||
Gymnogeophagus meridionalis Reis & Malabarba, 1988 | 8 | Escalante (1984); Almirón, García
(1992); Almirón et al. (2000); Llamazares Vegh et al. (2012);
Llompart et al. (2012); Paracampo (2013); Yorojo Moreno et al.
(2017); This study. | Co | R | CFA8038 | |
CLUPEIFORMES | ||||||
Pristigasteridae | ||||||
Pellona flavipinnis (Valenciennes, 1837) | 4 | Ringuelet et al. (1967); Remes
Lenicov, Colautti (2000); CARU-CARP (2012, 2016). | Co | MLP2-VII-54-11 | ||
Engraulidae | ||||||
Lycengraulis grossidens (Spix & Agassiz, 1829) | 7 | Ringuelet et al. (1967); Remes
Lenicov, Colautti (2000); CARU-CARP(2012, 2016); Llompart et al.
(2012); Scarabotti et al. (2021); This study. | Co | R | CFA8089 | |
Platanichthys platana (Regan, 1917) | 1 | CARU-CARP (2012). | SL | |||
Ramnogaster melanostoma (Eigenmann, 1907) | 5 | Ringuelet et al. (1967); Almirón
(1989); Llompart et al. (2012); Paracampo (2013); This study. | Co | F | CFA8088 | |
CYPRINIFORMES | ||||||
Cyprinidae | ||||||
Cyprinus carpio Linnaeus, 1758 | 13 | Mac Donagh (1945); Candia (1989);
Fabiano et al. (1992); Colautti (1997); Colombo et al. (2000);
CARU-CARP (2012, 2016); Llamazares Vegh et al. (2012); Llompart et
al. (2012); Paracampo (2013); Guerrero et al. (2017); Paracampo et
al. (2020); This study. | EEx | F | D | CFA8096 |
CYPRINODONTIFORMES | ||||||
Anablepidae | ||||||
Jenynsia lineata (Fowler, 1940) | 10 | Ringuelet et al. (1967);
Ringuelet et al. (1978); Escalante (1983); Almirón, García (1992);
Almirón et al. (2000); López et al. (2009); Llamazares Vegh et
al. (2012); Llompart et al. (2012); Paracampo (2013); Paracampo et
al. (2020). | Co | |||
Poeciliidae | ||||||
Cnesterodon decemmaculatus (Jenyns, 1842) | 9 | Escalante (1983); Almirón, García
(1992); Almirón et al. (2000); Remes Lenicov et al. (2005);
López et al. (2009); Llamazares Vegh et al. (2012); Llompart et
al. (2012); Paracampo (2013); Paracampo et al. (2020). | Co | CFA2163 | ||
Phalloceros caudimaculatus (Hensel, 1868) | 4 | Almirón (1989); Almirón et al.
(2000); Callicó Fortunato et al. (2010); Llompart et al.
(2012). | SL | |||
Rivulidae | ||||||
Austrolebias bellottii (Steindachner, 1881) | 6 | Escalante (1984); Almirón, García
(1992); Almirón et al. (2000); Calviño (2007); Llompart et al.
(2012); Calviño (2016). | Co | MLP6847 | ||
Austrolebias elongatus (Steindachner, 1881) | 2 | Ringuelet et al. (1967); Calviño
(2016). | Co | MLP6408 | ||
Austrolebias nigripinnis (Regan, 1912) | 4 | Ringuelet et al. (1967); Calviño
(2007); Calviño (2016) Llompart et al. (2012). | Co | MLP7889 | ||
CHARACIFORMES | ||||||
Acestrorhynchidae | ||||||
Acestrorhynchus pantaneiro Menezes, 1992 | 7 | Almirón, García (1992); Almirón (1989);
Almirón et al. (2000); Remes Lenicov, Colautti (2000); CARU-CARP
(2012, 2016) ; This study. | Co | R | CFA8060 | |
Anostomidae | ||||||
Abramites hypselonotus (Günther, 1868) | 1 | Braga (1993). | Co | MLP17-XII-32-12 | ||
Leporinus acutidens (Valenciennes, 1837) | 1 | Almirón (1989) | SL | |||
Megaleporinus obtusidens (Valenciennes, 1837) | 11 | Candia (1989); Almirón (1989); Braga
(1993); Penchaszadeh et al. (2000); Remes Lenicov, Colautti (2000);
García, Protogino (2005); CARU-CARP (2012, 2016); Paracampo (2013); Rojo et
al. (2021); This study. | Co | F | D | CFA8082 |
Pseudanos trimaculatus (Kner, 1858) | 1 | Braga (1993). | Co | MACN6207 | ||
Schizodon borellii (Boulenger, 1900) | 2 | CARU-CARP (2012, 2016). | SL | |||
Schizodon platae (Garman, 1890) | 6 | Almirón (1989); Almirón et al.
(2000); Remes Lenicov, Colautti (2000); Llompart et al. (2012);
Paracampo (2013); This study. | Co | F | CFA8086 | |
Characidae | ||||||
Aphyocharax dentatus Eigenmann & Kennedy, 1903 | 1 | López et al. (1984). | SL | |||
Astyanax abramis (Jenyns, 1842) | 5 | Almirón (1989); CARU-CARP (2012, 2016);
Paracampo (2013); This study. | Co | R | CFA8099 | |
Astyanax alleni (Eigenmann & McAtee, 1907) | 3 | Almirón (1984); Llompart et al.
(2012); Paracampo (2013). | SL | |||
Astyanax lacustris (Lütken, 1875) | 4 | Remes Lenicov, Colautti (2000); Llompart
et al. (2012); CARU-CARP (2016); This study. | Co | F | CFA8072 | |
Brycon orbignyanus (Valenciennes, 1850) | 5 | Ringuelet et al. (1967);
CARU-CARP (2012, 2016); Guerrero et al. (2017); This study. | Co | R | MLP30-V-33-43 | |
Bryconamericus exodon Eigenmann, 1907 | 1 | Llompart et al. (2012). | SL | |||
Bryconamericus iheringii (Boulenger, 1887) | 7 | Almirón (1989); Almirón et al.
(2000); López et al. (2009); Llamazares Vegh et al. (2012);
Paracampo (2013); Paracampo et al. (2020); This study. | Co | R | CFA8044 | |
Bryconamericus rubropictus (Berg, 1901) | 1 | Almirón et al. (2000). | SL | |||
Charax stenopterus (Cope, 1894) | 7 | Escalante (1984); Almirón, García
(1992); Almirón et al. (2000); López et al. (2009); Llompart et
al. (2012); Paracampo (2013); Paracampo et al. (2020). | Co | CFA2168 | ||
Cheirodon interruptus (Jenyns, 1842) | 11 | Ringuelet et al. (1967);
Miquelarena et al. (1981); Almirón, García (1992); Almirón et al.
(2000); Remes Lenicov et al. (2005); López et al. (2009);
Llamazares Vegh et al. (2012); Llompart et al. (2012);
Paracampo (2013); Paracampo et al. (2020); This study. | Co | R | CFA8043 | |
Cynopotamus argenteus (Valenciennes, 1837) | 7 | Almirón (1989); Remes Lenicov, Colautti
(2000); CARU-CARP (2012, 2016); Llompart et al. (2012); Paracampo
(2013); This study. | Co | F | CFA8062 | |
Cynopotamus kincaidi (Schultz, 1950) | 1 | This study. | NR | R | ||
Deuterodon luetkenii (Boulenger, 1887) | 1 | Paracampo (2013). | SL | |||
Diapoma terofali (Géry, 1964) | 3 | Miquelarena et al. (1981);
Almirón et al. (2000); Paracampo (2013). | Co | MLP19-XII-79-1 | ||
Galeocharax humeralis (Valenciennes, 1834) | 3 | CARU-CARP (2012); Llompart et al.
(2012); This study. | Co | R | ||
Heterocheirodon yatai (Casciotta, Miquelarena &
Protogino, 1992) | 1 | Almirón et al. (2000). | SL | |||
Hyphessobrycon meridionalis Ringuelet, Miquelarena & Menni,
1978 | 5 | Ringuelet et al. (1978); Almirón,
García (1992); Almirón et al. (2000); López et al. (2009);
Paracampo (2013). | Co | CFA2181 | ||
Hyphessobrycon togoi Miquelarena & López, 2006 | 1 | Miquelarena, López (2006). | Co | CFA1246 | ||
Moenkhausia intermedia Eigenmann, 1908 | 1 | This study. | NR | R | CFA8052 | |
Odontostilbe pequira (Steindachner, 1882) | 2 | Almirón (1984); This study. | Co | R | CFA8069 | |
Oligosarcus jenynsii (Günther, 1864) | 8 | Almirón, García (1992); Almirón et al.
(2000); López et al. (2009); CARU-CARP (2012); Llamazares Vegh et
al. (2012); Paracampo (2013); Paracampo et al. (2020); This study. | Co | R | CFA8090 | |
Oligosarcus oligolepis (Steindachner, 1867) | 7 | Escalante (1984); Almirón et al.
(2000); Llompart et al. (2012); Paracampo (2013); CARU-CARP (2016);
Paracampo et al. (2020); This study. | Co | F | CFA8055 | |
Piabarchus stramineus (Eigenmann, 1908) | 1 | Azpelicueta, Braga (1980). | SL | |||
Psalidodon anisitsi (Eigenmann, 1907) | 3 | Ringuelet et al. (1978); Almirón
(1989); Paracampo (2013). | Co | CFA2186 | ||
Psalidodon eigenmanniorum (Cope, 1894) | 7 | Escalante (1982); Almirón, García
(1992); Almirón et al. (2000); López et al. (2009); Llompart et
al. (2012); Paracampo (2013); Paracampo et al. (2020). | Co | CFA2175 | ||
Psalidodon erythropterus (Holmberg, 1891) | 2 | Llompart et al. (2012); This
study. | Co | R | CFA8066 | |
Psalidodon rutilus (Jenyns, 1842) | 13 | Ringuelet et al. (1967);
Escalante (1984); Almirón, García (1992); Almirón et al. (2000); Remes
Lenicov, Colautti (2000); Remes Lenicov et al. (2005); López et al.
(2009); CARU-CARP (2012, 2016); Llompart et al. (2012); Paracampo
(2013); Paracampo et al. (2020); This study. | Co | D | F | CFA8070 |
Pseudocorynopoma doriae Perugia, 1891 | 7 | Ringuelet et al. (1967); Almirón,
García (1992); Almirón et al. (2000); Remes Lenicov et al.
(2005); López et al. (2009); Paracampo (2013); Paracampo et al.
(2020). | Co | MLP22-XI-34-9 | ||
Roeboides descalvadensis Fowler, 1932 | 1 | Lucena (2007). | Co | MCP10148 | ||
Roeboides microlepis (Reinhardt, 1851) | 6 | Ringuelet et al. (1967); Almirón
(1989); Remes Lenicov, Colautti 2000; Llompart et al. (2012);
CARU-CARP (2016); This study. | Co | R | CFA8050 | |
Salminus brasiliensis (Cuvier, 1816) | 14 | Ringuelet et al. (1967); Bonetto et
al. (1971); Escalante (1984); Sverlij, Espinach Ros (1986); Candia
(1989); Almirón et al. (2000); Remes Lenicov, Colautti (2000);
CARU-CARP (2012, 2016); Paracampo (2013); Guerrero et al. (2017); Rojo
et al. (2021); Scarabotti et al. (2021); This study. | Co | F | D | CFA8085 |
Crenuchidae | ||||||
Characidium rachovii Regan, 1913 | 6 | Ringuelet et al. (1978); López et
al. (1980); Almirón et al. (2000); Remes Lenicov et al.
(2005); López et al. (2009); Paracampo (2013). | Co | MLP24-IV-79-2 | ||
Curimatidae | ||||||
Cyphocharax platanus (Günther, 1880) | 7 | Almirón (1989); Remes Lenicov, Colautti
(2000); CARU-CARP (2012, 2016); Llompart et al. (2012); Paracampo
(2013); This study. | Co | D | F | CFA8053 |
Cyphocharax saladensis (Meinken, 1933) | 3 | Almirón (1990); Llompart et al.
(2012); This study. | Co | R | ||
Cyphocharax spilotus (Vari, 1987) | 5 | Almirón (1989); Azpelicueta, Almirón
(1991); Llompart et al. (2012); CARU-CARP (2016); This study. | Co | R | ||
Cyphocharax voga (Hensel, 1870) | 9 | Almirón, García (1992); Almirón et al.
(2000); Remes Lenicov et al. (2005); López et al. (2009);
Llompart et al. (2012); Paracampo (2013); CARU-CARP (2016); Paracampo et
al. (2020); This study. | Co | D | CFA8054 | |
Potamorhina squamoralevis (Braga & Azpelicueta, 1983) | 2 | CARU-CARP (2016); This study. | Co | R | ||
Psectrogaster curviventris Eigenmann & Kennedy, 1903 | 2 | CARU-CARP (2016); This study. | Co | R | ||
Steindachnerina biornata (Braga & Azpelicueta, 1987) | 5 | Braga, Azpelicueta (1987); Almirón et
al. (2000); López et al. (2009); Paracampo (2013); This study. | Co | R | CFA8078 | |
Cynodontidae | ||||||
Rhaphiodon vulpinus Spix & Agassiz, 1829 | 7 | Ringuelet et al. (1967); Almirón
(1989); Almirón et al. (2000); Remes Lenicov, Colautti (2000);
Llompart et al. (2012); Paracampo (2013); This study. | Co | R | CFA8057 | |
Erythrinidae | ||||||
Hoplias argentinensis Rosso, González-Castro, Bogan, Cardoso,
Mabragaña, Delpiani & Díaz de Astarloa, 2018 | 12 | Ringuelet et al. (1967);
Escalante (1984); Almirón, García (1992); Almirón et al. (2000); Remes
Lenicov et al. (2005); López et al. (2009); CARU-CARP (2012,
2016); Llamazares Vegh et al. (2012); Paracampo (2013); Paracampo et
al. (2020); This study. | Co | F | D | CFA8042 |
Parodontidae | ||||||
Apareiodon affinis (Steindachner, 1879) | 3 | Almirón (1989); Paracampo (2013); This
study. | Co | R | CFA8068 | |
Prochilodontidae | ||||||
Prochilodus lineatus (Valenciennes, 1837) | 32 | Ringuelet et al. (1967); Almirón
(1989); Candia (1989); Almirón, García (1992); Almirón et al. (2000);
Colombo et al. (2000, 2011); Remes Lenicov, Colautti (2000); Villar et
al. (2001); Remes Lenicov et al. (2005); Colombo et al.
(2007); Speranza, Colombo (2009); Lombardi et al. (2010a,b); CARU-CARP
(2012, 2016); Llamazares Vegh et al. (2012); Llompart et al.
(2012); Speranza et al. (2012, 2013, 2016, 2020); Paracampo (2013);
Cappelletti et al. (2015); Avigliano et al. (2017b, 2019b,c,
2020); Paracampo et al. (2020); Rojo et al. (2021); Scarabotti et
al. (2021); This study. | Co | F | D | CFA8063 |
Serrasalmidae | ||||||
Metynnis otuquensis Ahl, 1923 | 1 | Braga (1994). | Co | MACN5700 | ||
Mylossoma duriventre (Cuvier, 1818) | 3 | Ringuelet et al. (1967); Remes
Lenicov, Colautti (2000); CARU-CARP (2016). | Co | MLP7-XII-32-40 | ||
Pygocentrus nattereri Kner, 1858 | 4 | Almirón (1989); Remes Lenicov, Colautti
(2000); CARU-CARP (2012, 2016). | SL | |||
Serrasalmus maculatus Kner, 1858 | 5 | Almirón (1989); Remes Lenicov, Colautti
(2000); CARU-CARP (2012, 2016); Llompart et al. (2012). | SL | |||
Serrasalmus marginatus Valenciennes, 1837 | 1 | Remes Lenicov, Colautti (2000). | SL | |||
Triportheidae | ||||||
Triportheus nematurus (Kner, 1858) | 3 | Ringuelet et al. (1967); Remes
Lenicov, Colautti (2000); CARU-CARP (2016). | Co | MLP5-VI-35-15 | ||
GYMNOTIFORMES | ||||||
Apteronotidae | ||||||
Apteronotus albifrons (Linnaeus, 1766) | 2 | Ringuelet et al. (1967);
CARU-CARP (2016). | Co | MLP20-X-32-32 | ||
Gymnotidae | ||||||
Gymnotus inaequilabiatus (Valenciennes, 1839) | 1 | Ringuelet et al. (1967). | Co | MLP4-IV-61-48 | ||
Rhamphichthyidae | ||||||
Rhamphichthys hahni (Meinken, 1937) | 3 | Ringuelet et al. (1967);
CARU-CARP (2016); This study. | Co | R | ||
Sternopygidae | ||||||
Eigenmannia trilineata López & Castello, 1966 | 4 | López, Castello (1966); Llompart et
al. (2012); CARU-CARP (2016); This study. | Co | F | CFA8056 | |
Eigenmannia virescens (Valenciennes, 1836) | 5 | Ringuelet et al. (1967); Remes
Lenicov, Colautti (2000); CARU-CARP (2012, 2016); This study. | Co | R | ||
MUGILIFORMES | ||||||
Mugilidae | ||||||
Mugil liza Valenciennes, 1836 | 7 | Ringuelet et al. (1967); Almirón
(1989); Almirón et al. (2000); Colombo et al. (2000); Paracampo
(2013); CARU-CARP (2016); This study. | Co | R | CFA8059 | |
SILURIFORMES | ||||||
Ariidae | ||||||
Genidens barbus (Lacepède, 1803) | 5 | CARU-CARP (2012); Avigliano et al.
(2015b, 2017a, 2019a); Maciel et al. (2021). | SL | |||
Aspredinidae | ||||||
Bunocephalus doriae Boulenger, 1902 | 1 | Paracampo (2013). | Co | CFA2162 | ||
Pseudobunocephalus iheringii (Boulenger, 1891) | 2 | Almirón et al. (2000); This
study. | Co | R | CFA8079 | |
Auchenipteridae | ||||||
Ageneiosus inermis (Linnaeus, 1766) | 3 | Ringuelet et al. (1967); Volpedo,
Fuchs (2010); CARU-CARP (2012). | Co | MLP1-III-60-1 | ||
Ageneiosus militaris Valenciennes, 1835 | 8 | Ringuelet et al. (1967); Almirón et
al. (2000); Llompart et al. (2012); CARU-CARP (2012, 2016);
Paracampo (2013); Guerrero et al. (2017); This study. | Co | R | CFA8041 | |
Auchenipterus osteomystax (Miranda Ribeiro, 1918) | 5 | Ringuelet et al. (1967); Almirón et
al. (2000); CARU-CARP (2012, 2016); Llompart et al. (2012). | Co | MLP1-V-41-19 | ||
Trachelyopterus albicrux (Berg, 1901) | 1 | Remes Lenicov, Colautti (2000). | SL | |||
Trachelyopterus cf. galeatus (Linnaeus, 1766) | 5 | Ringuelet et al. (1967); Almirón et
al. (2000); Llompart et al. (2012); Guerrero et al. (2017);
This study. | Co | F | CFA8058 | |
Trachelyopterus lucenai Bertoletti, da Silva & Pereira,
1995 | 1 | CARU-CARP (2016). | SL | |||
Callichthydae | ||||||
Callichthys callichthys (Linnaeus, 1758) | 3 | Ringuelet et al. (1967) Remes
Lenicov et al. (2005); Llompart et al. (2012). | Co | MLP2-III-59-4 | ||
Corydoras paleatus (Jenyns, 1842) | 9 | Ringuelet et al. (1967);
Escalante (1983); Almirón et al. (2000); Remes Lenicov et al.
(2005); López et al. (2009); Llompart et al. (2012); Paracampo
(2013); Paracampo et al. (2020); This study. | Co | F | CFA8039 | |
Doraridae | ||||||
Oxydoras kneri Bleeker, 1862 | 3 | Ringuelet et al. (1967); Llompart
et al. (2012); Scarabotti et al. (2021). | Co | MLP30-V-33-2 | ||
Pterodoras granulosus (Valenciennes, 1821) | 12 | Candia (1989); Amestoy, Fabiano (1992);
Remes Lenicov, Colautti (2000); Ferriz et al. (2000); Villar et al.
(2001); Cataldo (2002); Garcia, Protogino (2005); Volpedo, Fuchs (2010);
CARU-CARP (2012, 2016); Scarabotti et al. (2021); This study. | Co | R | CFA8076 | |
Rhinodoras dorbignyi (Kner, 1855) | 6 | Ringuelet et al. (1967); Garcia,
Protogino (2005); CARU-CARP (2012, 2016); Llompart et al. (2012); This
study. | Co | R | CFA8074 | |
Heptapteridae | ||||||
Heptapterus mustelinus (Valenciennes, 1835) | 2 | Ringuelet et al. (1967); Fuster
(2017). | Co | MLP10-VIII-32-24 | ||
Pimelodella gracilis (Valenciennes, 1835) | 6 | Almirón (1989); Almirón, García (1992);
Almirón et al. (2000); CARU-CARP (2012, 2016); This study. | Co | R | CFA8075 | |
Pimelodella laticeps Eigenmann, 1917 | 8 | Almirón et al. (2000); Almirón,
García (1992); Llompart et al. (2012); López et al. (2009);
Paracampo (2013); García et al. (2017); Paracampo et al.
(2020); This study. | Co | R | CFA8081 | |
Rhamdia aff. quelen (Quoy & Gaimard,
1824) | 8 | Almirón, García (1992); Almirón et al.
(2000); Llamazares Vegh et al. (2012); Llompart et al. (2012);
Paracampo (2013); CARU-CARP (2012); Paracampo et al. (2020); This
study. | Co | R | CFA8067 | |
Loricariidae | ||||||
Ancistrus cirrhosus (Valenciennes, 1836) | 3 | Ringuelet et al. (1967); Almirón et
al. (2000); This study. | Co | R | CFA8061 | |
Brochiloricaria chauliodon Isbrücker, 1979 | 2 | Almirón et al. (2000); Garcia,
Protogino (2005). | SL | |||
Hisonotus maculipinnis (Regan, 1912) | 1 | Almirón et al. (2000). | SL | |||
Hoplosternum littorale (Hancock, 1828) | 3 | Ringuelet et al. (1967); Llompart
et al. (2012); This study. | Co | R | CFA8091 | |
Hypostomus aspilogaster (Cope, 1894) | 3 | Cardoso et al. (2011); CARU-CARP
(2016); This study. | Co | R | CFA8093 | |
Hypostomus borellii (Boulenger, 1897) | 1 | CARU-CARP (2012). | SL | |||
Hypostomus commersoni Valenciennes, 1836 | 12 | Ringuelet et al. (1967); Almirón,
García (1992); Almirón et al. (2000); Remes Lenicov et al.
(2005); Volpedo, Fuchs (2010); Llamazares Vegh et al. (2012); Llompart
et al. (2012); Paracampo (2013); CARU-CARP (2012, 2016); Paracampo et
al. (2020); This study. | Co | F | D | CFA8040 |
Hypostomus laplatae (Eigenmann, 1907) | 3 | Ringuelet et al. (1967); Cardoso et
al. (2019); This study. | Co | R | CFA8097 | |
Hypostomus microstomus Weber, 1987 | 1 | López, Miquelarena (1991). | Co | MHNM1524 | ||
Hypostomus roseopunctatus Reis, Weber & Malabarba, 1990 | 1 | CARU-CARP (2016). | SL | |||
Hypostomus uruguayensis Reis, Weber & Malabarba, 1990 | 1 | This study. | NR | R | CFA8094 | |
Loricaria simillima Regan, 1904 | 1 | CARU-CARP (2016). | Co | |||
Loricaria apeltogaster Boulenger, 1895 | 2 | López (1970); CARU-CARP (2016). | SL | |||
Loricariichthys anus (Valenciennes, 1835) | 10 | López (1970); Almirón, García (1992);
Almirón et al. (2000); Volpedo, Fuchs (2010); CARU-CARP (2012, 2016);
Llompart et al. (2012); Paracampo (2013); Paracampo et al.
(2020); This study. | Co | F | D | CFA8083 |
Loricariichthys melanocheilus Reis & Pereira, 2000 | 2 | Rodríguez (2003); CARU-CARP (2012). | Co | MLP755 | ||
Otocinclus arnoldi Regan, 1909 | 7 | Almirón, García (1992); Schaefer (1997);
Almirón et al. (2000); López et al. (2009); Llompart et al.
(2012); Paracampo (2013); Paracampo et al. (2020). | Co | CFA2170 | ||
Otocinclus vittatus Regan, 1904 | 1 | Almirón et al. (2000). | SL | |||
Paraloricaria vetula (Valenciennes, 1835) | 7 | López (1970); Rodríguez (2003); Garcia,
Protogino (2005); Volpedo, Fuchs (2010); CARU-CARP (2012, 2016); This study. | Co | R | CFA8077 | |
Pterygoplichthys ambrosettii (Holmberg 1893) | 2 | CARU-CARP (2016); This study. | Co | R | CFA8036 | |
Rhinelepis strigosa Valenciennes, 1840 | 3 | CARU-CARP (2012, 2016); This study. | Co | F | CFA8095 | |
Ricola macrops (Regan, 1904) | 5 | Ringuelet et al. (1967); López
(1970); Rodríguez (2003); Garcia, Protogino (2005); CARU-CARP (2016). | Co | |||
Rineloricaria catamarcensis (Berg, 1895) | 1 | Rodríguez (2003). | Co | CFA1680 | ||
Rineloricaria lima (Kner, 1853) | 2 | López (1970); Almirón, García (1992). | SL | |||
Pimelodidae | ||||||
Hypophthalmus oremaculatus Nani & Fuster de Plaza, 1947 | 1 | López et al. (1980). | Co | MLP2-VIII-73-13 | ||
Iheringichthys labrosus (Lütken, 1874) | 7 | Volpedo, Fuchs (2010); CARU-CARP (2012,
2016); Llompart et al. (2012); Paracampo (2013); Paracampo et al.
(2020); This study. | Co | F | CFA8073 | |
Luciopimelodus pati (Valenciennes, 1835) | 11 | Ringuelet et al. (1967), Sverlij,
Espinach Ros (1986); Candia (1989); Almirón et al. (2000); Remes
Lenicov, Colautti (2000); Volpedo, Fuchs (2010); CARU-CARP (2012, 2016);
Llompart et al. (2012); Scarabotti et al. (2021); This study. | Co | F | CFA8084 | |
Pinirampus argentina (MacDonagh, 1938) | 1 | Ringuelet et al. (1967). | Co | MLP30-V-33-3 | ||
Pimelodus maculatus Lacepède, 1803 | 17 | Ringuelet et al. (1967); Candia
(1989); Almirón, García (1992); Gutiérrez, Martorelli (1999); Almirón et
al. (2000); Remes Lenicov, Colautti (2000); Garcia, Protogino (2005);
Remes Lenicov et al. (2005); López et al. (2009); Volpedo,
Fuchs (2010); CARU-CARP (2012, 2016); Llamazares Vegh et al. (2012);
Llompart et al. (2012); Paracampo (2013); Paracampo et al. (2020);
Rojo et al. (2021); This study. | Co | D | CFA8071 | |
Parapimelodus valenciennis (Lütken, 1874) | 13 | Ringuelet et al. (1967); Almirón
(1989); Almirón et al. (2000); Remes Lenicov, Colautti (2000); Remes
Lenicov et al. (2005); Volpedo, Fuchs (2010); CARU-CARP (2012, 2016);
Llompart et al. (2012); Paracampo (2013); Paracampo et al.
(2020); Scarabotti et al. (2021); This study. | Co | D | CFA8047 | |
Pimelodus albicans (Valenciennes, 1840) | 13 | Ringuelet et al. (1967); Almirón
(1989); Candia (1989); Remes Lenicov, Colautti (2000); Gutiérrez, 2001; Remes
Lenicov et al. (2005); Vergara et al. (2008); Volpedo, Fuchs
(2010); CARU-CARP (2012, 2016); Llamazares Vegh et al. (2012);
Llompart et al. (2012); Paracampo, 2013; This study. | Co | F | D | CFA8098 |
Pimelodus argenteus Perugia, 1891 | 3 | Volpedo, Fuchs (2010); Llompart et al.
(2012); This study. | Co | R | CFA8048 | |
Pseudoplatystoma corruscans (Spix & Agassiz, 1829) | 6 | Ringuelet et al. (1967); Remes
Lenicov, Colautti (2000); CARU-CARP (2012, 2016); Paracampo (2013); This
study. | Co | F | CFA8035 | |
Sorubim lima (Bloch & Schneider, 1801) | 5 | Almirón (1989); Remes Lenicov, Colautti
(2000); Volpedo, Fuchs (2010); Llompart et al. (2012); This study. | Co | R | CFA8092 | |
Zungaro jahu (Ihering, 1898) | 3 | Llompart et al. (2012); CARU-CARP
(2016); Guerrero et al. (2017). | SL | |||
Pseudopimelodidae | ||||||
Microglanis malabarbai Bertaco & Cardoso, 2005 | 5 | Castello (1971); Almirón et al.
(2000); Llompart et al. (2012); Paracampo (2013); This study. | Co | R | CFA8080 | |
SYNBRANCHIFORMES | ||||||
Synbranchidae | ||||||
Synbranchus
marmoratus
Bloch, 1795 | 11 | Ringuelet et al. (1967); Almirón,
García (1992); Almirón et al. (2000); Remes Lenicov et al.
(2005); López et al. (2009); Llamazares Vegh et al. (2012);
Llompart et al. (2012); Paracampo (2013); Guerrero et al.
(2017); Paracampo et al. (2020); This study. | Co | R | CFA8046 | |
PLEURONECTIFORMES | ||||||
Achiridae | ||||||
Catathyridium jenynsii (Günther, 1862) | 4 | Candia (1989); Lunaschi (2003); Llompart
et al. (2012); This study. | Co | R | CFA8065 | |
Not current components of the fish
assemblage | ||||||
PETROMYZONTIDA | ||||||
PETROMYZONTIFORMES | ||||||
Geotriidae | ||||||
Geotria macrostoma (Burmeister, 1868) | 1 | Burmeister (1868). | NC | |||
CHONDRICHTHYES | ||||||
MYLIOBATIFORMES | ||||||
Potamotrygonidae | ||||||
Potamotrygon histrix (Müller & Henle, 1839) | 1 | Pozzi (1945). | NC | |||
Potamotrygon motoro (Müller & Henle, 1841) | 1 | Pozzi (1945). | NC | |||
OSTEICHTHYES | ||||||
ACIPENSERIFORMES | ||||||
Acipenseridae | ||||||
Acipenser baerii Brandt, 1869 | 2 | Azpelicueta, Almirón (1999); Liotta,
Giacosa (2017). | NEx | |||
Acipenser gueldenstaedtii Brandt & Ratzeburg, 1833 | 1 | Demonte et al. (2017). | NEx | |||
ANGUILLIFORMES | ||||||
Muraenidae | ||||||
Gymnothorax ocellatus Agassiz, 1831 | 1 | Marelli (1924). | NC | |||
ACANTHURIFORMES | ||||||
Sciaenidae | ||||||
Plagioscion macdonaghi Daneri, 1954 | Junior synonim of Plagioscion
ternetzi Boulenger, 1895 by Casatti (2003). | SS | ||||
CLUPEIFORMES | ||||||
Clupeidae | ||||||
Brevoortia aurea (Spix & Agassiz, 1829) | 1 | Lahille (1895). | NC | |||
Brevoortia pectinata (Jenyns, 1842) | 1 | Berg (1895). | NC | |||
Ramnogaster arcuata (Jenyns, 1842) | 1 | De Buen (1950) collected outside the
study area (Montevideo, Uruguay) | NC | |||
CHARACIFORMES | ||||||
Anostomidae | ||||||
Leporinus striatus Kner, 1858 | 1 | Devincenzi, Teague (1942) collected
outside the study area (middle Uruguay River). | NC | |||
Characidae | ||||||
Aphyocharax pusillus Günther, 1868 | 1 | Pozzi (1945). | NC | |||
Astyanax orbignyanus (Valenciennes, 1850) | 1 | Cuvier, Valenciennes (1850). | NC | |||
Diapoma speculiferum Cope, 1894 | 1 | Myers (1942) collected outside the study
area (Río Cebollatí, Uruguay). | NC | |||
Hyphessobrycon bifasciatus Ellis, 1911 | 1 | Messner (1962). | NC | |||
Markiana nigripinnis (Perugia, 1891) | 1 | Perugia (1891). | NC | |||
Odontostilbe microcephala Eigenmann, 1907 | 1 | Ringuelet (1975) without traceable
record. | NC | |||
Poptella paraguayensis (Eigenmann, 1907) | 1 | Günther (1880). | NC | |||
Roeboides affinis (Günther, 1868) | 1 | Ringuelet, Arámburu (1957). | NC | |||
Serrapinnus piaba (Lütken, 1875) | 1 | Nion (1998) without traceable record. | NC | |||
Tetragonopterus argenteus Cuvier, 1816 | 1 | Lahille (1895). | NC | |||
Curimatidae | ||||||
Steindachnerina brevipinna (Eigenmann & Eigenmann, 1889) | 1 | Berg (1897). | NC | |||
Gasteropelecidae | ||||||
Thoracocharax stellatus (Kner, 1858) | 1 | Pozzi, Bordalé (1936). | NC | |||
Lesbiasinidae | ||||||
Pyrrhulina australis Eigenmann & Kennedy, 1903 | 1 | Pozzi (1945). | NC | |||
Parodontidae | ||||||
Parodon suborbitalis Valenciennes, 1850 | 1 | De Buen (1950). | NC | |||
Serrasalmidae | ||||||
Mylossoma paraguayensis Norman, 1929 | Junior synonim of Mylossoma
duriventre (Cuvier, 1818) Jégu (2003) | SS | ||||
Piaractus mesopotamicus (Holmberg, 1887) | 1 | Pozzi (1945). | NC | |||
Serrasalmus spilopleura Kner, 1858 | 1 | Norman (1929). | Ab | |||
Trichomycteridae | ||||||
Pseudostegophilus maculatus (Steindachner, 1879) | 1 | Stigchel (1947). | NC | |||
Scleronema minutum (Boulenger, 1891) | 1 | Devincenzi, Teague (1942) collected
outside the study area (middle Uruguay River). | NC | |||
CICHLIFORMES | ||||||
Cichlidae | ||||||
Crenicichla lacustris (Castelnau, 1855) | 1 | Marelli (1924). | Ab | |||
Gymnogeophagus australis (Eigenmann, 1907) | 1 | Pozzi (1945). | NC | |||
Gymnogeophagus labiatus (Hensel, 1870) | 1 | Pereyra, García (2008) without traceable
record. | NC | |||
Gymnogeophagus rhabdotus (Hensel, 1870) | 1 | Nion (1998) without traceable record. | NC | |||
CYPRINIFORMES | ||||||
Cyprinidae | ||||||
Hypophthalmichthys molitrix (Valenciennes, 1844) | 1 | García Romero et al. (1998). | NEx | |||
CYPRINODONTIFORMES | ||||||
Poeciliidae | ||||||
Phalloptychus januarius (Hensel, 1868) | 1 | Lahille (1923). | Ab | |||
Poecilia vivipara Bloch & Schneider, 1801 | 1 | Ihering (1931). | Ab | |||
GYMNOTIFORMES | ||||||
Rhamphichthydae | ||||||
Rhamphichthys rostratus (Linnaeus, 1766) | 1 | Lahille (1910). | Ab | |||
Hypopomidae | ||||||
Hypopomus artedi (Kaup, 1856) | 1 | Lahille (1921). | Ab | |||
MUGILIFORMES | ||||||
Mugilidae | ||||||
Mugil platanus Günther, 1880 | Junior synonim of Mugil liza
Valenciennes, 1836 by Menezes et al. (2010). | SS | ||||
SILURIFORMES | ||||||
Ageneiosidae | ||||||
Ageneiosus dentatus Kner, 1858 | 1 | Marelli (1924). | NC | |||
Auchenipteridae | ||||||
Trachelyopterus ceratophysus (Kner, 1858) | 1 | Perugia (1891). | NC | |||
Trachelyopterus striatulus (Steindachner, 1877) | 1 | Mac Donagh, Cabrera (1937). | NC | |||
Callichthydae | ||||||
Corydoras undulatus Regan, 1912 | 1 | Nijssen, Isbrücker (1980) collected by
Wolterstorff in 1912. | NC | |||
Corydoras aeneus (Gill, 1858) | 1 | Pozzi (1945). | NC | |||
Doraridae | ||||||
Megalodoras laevigatulus (Berg, 1901) | Junior synonim of Pterodoras
granulosus (Valenciennes, 1821) by Sabaj (2003). | SS | ||||
Loricariidae | ||||||
Ancistrus gymnorhynchus Kner, 1854 | 1 | Stigchel (1947) misidentified this
species which is distributed in Venezuela (Fricke et al., 2022). | Ab | |||
Farlowella hahni Meinken, 1937 | 1 | Almirón et al. (1992) without
traceable record. | NC | |||
Hypostomus punctatus Valenciennes, 1840 | 1 | Angelescu, Gneri (1949). | NC | |||
Hypostomus robinii Valenciennes, 1840 | 1 | Lopez et al. (1987) misidentified
this species which is distributed in Colombia (Fricke et al., 2022). | Ab | |||
Loricariichthys platymetopon Isbrücker & Nijssen, 1979 | 1 | Roule (1826). | NC | |||
Otocinclus affinis Steindachner, 1877 | 1 | Schaefer (1997). | Ab | |||
Paraloricaria commersonoides (Devincenzi, 1943) | 1 | De Vincenzi (1943) collected outside the
study area (middle Uruguay River). | NC | |||
Rineloricaria felipponei (Fowler, 1943) | 1 | Fowler (1943). | NC | |||
Rineloricaria pareiacantha (Fowler, 1943) | 1 | Fowler (1943). | NC | |||
Rineloricaria thrissoceps (Fowler, 1943) | 1 | Fowler (1943). | NC | |||
Spatuloricaria nudiventris (Valenciennes, 1840) | 1 | Devincenzi, Teague (1942) collected
outside the study area (middle Uruguay River). | NC | |||
Heptapteridae | ||||||
Myoglanis colletti (Steindachner, 1881) | 1 | Steindachner (1881). | NC | |||
Rhamdella jenynsii (Günther, 1864) | 1 | Günther (1880). | NC | |||
Pimelodidae | ||||||
Bergiaria platana (Steindachner, 1908) | 1 | Steindachner (1908). | NC | |||
Bergiaria westermanni (Lütken, 1874) | 1 | Lütken (1874). | NC | |||
Megalonema platanum (Günther, 1880) | 1 | Günther (1880). | NC | |||
Hemisorubim platyrhynchos (Valenciennes, 1840) | 1 | Nion (1998) without traceable record. | NC | |||
Hypophthalmus edentatus Spix & Agassiz, 1829 | 1 | Lopez et al. (1980) erroneous
record. | Ab | |||
Pimelodus brevis Marini, Nichols & LaMonte, 1933 | 1 | Junior synonim of Pimelodus argenteus
Perugia, 1891 by Mirande, Koerber (2015). | SS | |||
Paulicea luetkeni (Steindachner, 1876) | 1 | Haseman (1911). | Ab | |||
Pseudopimelodus mangurus (Valenciennes, 1835) | 1 | Marelli (1924). | Ab | |||
Pseudoplatystoma reticulatum Eigenmann & Eigenmann, 1889 | 1 | De Buen (1950) without traceable record. | NC | |||
PLEURONECTIFORMES | ||||||
Achiridae | ||||||
Achirus lineatus (Linnaeus, 1758) | 1 | Pozzi (1945) misidentified this tropical
species which is distributed up to northern Argentina (Fricke et al.,
2022). | Ab | |||
The comparison between literature and sampling taxa composition showed no differences in the relative number distribution of species by order (Kolmogorov Smirnov, D = 0.38; p = 0.29). It also showed that Siluriformes and Characiformes were equally prevalent, representing around 80% of the taxa (Fig. 2), followed by Gymnotiformes, Atheriniformes, and Clupeiformes with 4–3%. Cichliformes, Acanthuriformes, Cypriniformes, Mugiliformes, Pleuronectiformes, and Synbranchiformes ranged between 4–1%. Cyprinodontiformes and Myliobatiformes were found only in the literature, with 4% or less. Considering families, comparison evidenced that Characidae, Loricariidae, and Pimelodidae, in descending order, were the richest taxa.
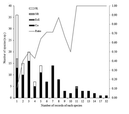
The category supported by literature, reached the highest value for taxa with a single record, followed by confirmed taxa and new records. Based on the 141 taxa that should be considered as current fish assemblage, the number of species by number of records value (Tab.1) showed that half of these species showed three records or less in the study area, and that the remaining half were recorded up to 32 (Fig. 3). As records increased, the ratio between number of species caught in fieldwork and number of species mentioned in the literature increased, suggesting that the species most frequently cited were also those most commonly captured in the study area.
FIGURE 2| Percentage number of species by order, literature review (black bar) differing from fieldwork (grey bar) in the freshwater Río de la Plata (RdlP).
The Olmstead-Tukey quadrants for occurrence % – CPUEn (Fig. 4A) were limited by a mean frequency of occurrence of 30.67% and an average CPUE of 8 ind./16 h. Five species were dominant (6.94%), 22 frequent (30.6%) and 45 rare (62.5%) (Tab.1). Dominant species exhibited an occurrence higher than 88%, representing 90% of the total specimens collected (n = 25,311). Frequent species accounted for 8.5% of the total captured fish and rare species, representing 1.5% of the total captured specimens. While for occurrence % – CPUEw an average 264 g/16h was obtained, with 11 dominant (11.2%), 16 frequent (22.2%), and 45 rare species (62.5%) (Fig. 4B). Summed up, the group of five dominant species exhibited a CPUEw higher than 90% of the total weight collected (g = 828,531). Frequent species accounted for 6% and rare species 3.2% of the total captured biomass. Occurrence % – CPUEn and occurrence % – CPUEw analyses evidenced that Parapimelodus valenciennis (Lütken, 1874) and Pimelodus maculatus Lacepède, 1803 were dominant taxa, that no occasional species were found, and that the rare species were the same.
FIGURE 3| Number of records of each species of the current fish assemblage of the freshwater Río de la Plata (RdlP) (SL, supported by literature; NR, new records; EEx, established exotic species; Co, confirmed) with their respective number of species and ratio between number of species captured in fieldwork and number of species mentioned in the literature.
In turn, main differences between CPUEn and CPUEw were the hierarchy change from dominant to frequent of Psalidodon rutilus (Jenyns, 1842) and Cyphocharax platanus (Günther, 1880); and the category change from frequent to dominant of Prochilodus lineatus (Valenciennes, 1837), Salminus brasiliensis (Cuvier, 1816), Megaleporinus obtusidens (Valenciennes 1837), Cyprinus carpio Linnaeus, 1758, Hoplias argentinensis Rosso, González-Castro, Bogan, Cardoso, Mabragaña, Delpiani & Díaz de Astarloa, 2018, Loricariichthys anus (Valenciennes, 1835), Hypostomus commersoni Valenciennes, 1836, and Pimelodus albicans (Valenciennes, 1840).
FIGURE 4| Olmstead-Tukey diagram showing the relationship between percentage frequency of occurrence of species (occurrence %) and log transformed (ln X+1) fish number and weight captured and standardized to 16h of fishing A. CPUEn and B. CPUEw in the freshwater Río de la Plata (RdlP), respectively. Grey lines correspond to the mean frequency of occurrence % (vertical) and average CPUEn and CPUEw (horizontal); they are used to define dominant, frequent, occasional, and rare species (categories are defined in Tab. 1). 1. Acestrorhynchus pantaneiro; 2. Ageneiosus militaris;3. Ancistrus cirrhosis;4. Apareiodon affinis; 5. Astyanax abramis; 6. Psalidodon erythropterus; 7. Astyanax lacustris; 8. Psalidodon rutilus; 9. Bryconamericus iheringii; 10. Brycon orbignyanus;11. Catathyridium jenynsii; 12. Cheirodon interruptus; 13. Corydoras paleatus; 14. Cynopotamus argenteus; 15. Cyprinus carpio; 16. Cynopotamus kincaidi; 17. Cyphocharax platanus; 18. Cyphocharax saladensis; 19. Cyphocharax spilotus; 20. Cyhocharax voga; 21. Eigenmannia trilineata; 22. Eigenmannia virescens; 23. Galeocharax humeralis; 24. Gymnogeophagus meridionalis; 25. Hoplosternum littorale; 26. Hoplias argentinensis; 27. Hypostomus aspilogaster; 28. Hypostomus commersoni; 29. Hypostomus laplatae; 30. Hypostomus uruguayensis; 31. Iheringichthys labrosus; 32. Megaleporinus obtusidens; 33. Loricariichthys anus; 34. Luciopimelodus pati; 35. Lycengraulis grossidens; 36. Microglanis malabarbai; 37. Moenkhausia intermedia; 38. Mugil liza; 39. Odontesthes bonariensis; 40. Odontesthes perugiae; 41. Odontostilbe pequira; 42. Oligosarcus jenynsii; 43. Oligosarcus oligolepis; 44. Pachyurus bonariensis; 45. Parapimelodus valenciennis;46. Paraloricaria vetula; 47. Pimelodus albicans; 48. Pimelodus argenteus; 49. Pimelodella gracilis; 50.Pimelodella laticeps; 51. Pimelodus maculatus; 52. Plagioscion ternetzi; 53. Potamorhina squamoralaevis; 54. Prochilodus lineatus; 55. Pseudoplatystoma corruscans; 56. Psectrogaster curviventris; 57. Pseudobunocephalus iheringii; 58. Pterygoplichthys ambrosettii; 59. Pterodoras granulosus; 60. Ramnogaster melanostoma; 61. Rhinodoras dorbigyi; 62. Rhamphichthys hahni; 63. Rhamdia aff. quelen; 64. Rhinelepis strigosa; 65. Rhaphiodon vulpinus; 66. Roeboides microlepis; 67. Salminus brasiliensis; 68. Schizodon platae; 69. Sorubim lima; 70. Steindachnerina biornata; 71. Synbranchus marmoratus; 72. Trachelyopterus galeatus.
Discussion
The present study puts forward an updated list of fish species that inhabit the freshwater RdlP; this is also the first proposal of the hierarchical composition of its Argentinean coastal fish assemblage. From the 206 native fish mentioned in the freshwater RdlP, literature showed 66 taxa categorized as not confirmed, absent, or synonymized species. The absence of not confirmed species in fish samplings for at least five decades, when most samplings in the area were developed, does not allow confirming their current inclusion in the fish assemblage under study.Further studies on this topic are therefore needed, whose results can potentially reduce the number of species in this group. However, it is highly probable that the poor water quality and habitat conditions evidenced in freshwater RdlP due to anthropogenic activities (Topalián et al., 1990; Kurucz et al., 1998; Natale, 2005; FREPLATA, 2005; Cirelli, Ojeda, 2008) have been impacting negatively on the richness of the fish assemblage of the area for the last five decades or so. Indeed, the disappearance of certain species in the freshwater coastal surrounding areas of La Plata city has already been correlated with local human pollution in the 70s decade (Ringuelet, 1975). As example, the nonappearance of a relevant species for fisheries in the basin, like Piaractus mesopotamicus (Holmberg, 1887) might be associated with this situation, as suggested by Quirós (1990) who linked its abundance declination with human pollution. The species included in the absent and synonymized species categories, based on current taxonomic studies (Litz, Koerber, 2014; Koerber, Litz, 2014; Koerber et al., 2016a,b; 2020), must be excluded from the list of fish species for the area as some correspond to confirmed taxonomic misidentifications (i.e., Hypostomus robinii Valenciennes, 1840, Ancistrus gymnorhynchus Kner, 1854, and Achirus lineatus (Linnaeus, 1758)) or outdated labelling.
The 140 native species that should be considered as current fish fauna of the study area were grouped into supported by literature, confirmed, and new records, reducing the number of autochthonous species previously compiled (Nion, 1998; López et al., 2003; Volpedo et al., 2010). Despite the historical relevance of previous compilations, our study suggests that the richness of species in freshwater RdlP is overestimated due to outdated old metadata replication. The supported by literature category refers to species that might represent misidentifications or taxa that migrate exceptionally from upper portions of the basin but do not become stablished. Either way, the lacking voucher number, making impossible to confirm their presence. This assumption is reinforced by the fact that the species in the supported by literature category were restricted to taxa recorded in five or less events, being maximum for species recorded once. Meanwhile, the confirmed group reflects species that undoubtedly are currently present in the study area. Such conclusion was based not only on the fact that these taxa were recently captured with voucher number deposit, but also on the fact that most were collected more than once. Indeed, it is highly probable that the taxa obtained two or more times, in independent fish samplings, represent usual fish fauna of the study area. However, species recently found once, as in the new records category, if not re-captured, could be re-categorized as not confirmed in subsequent research. In general, species recently captured once in the freshwater RdlP are commonly found in the upper parts of the La Plata River basin (Ringuelet, 1975), possibly extending their distribution. Volpedo et al., (2010) reported an increase in the number of taxa of RdlP over the last two decades owing to climate change. The referred mechanism could function as a counterpart of the effects caused by pollution and habitat modification, influencing fish assemblage composition and structure.
In the established exotic species category, the establishment and expansion of Cyprinus carpio are common in environments connected with the Río de la Plata system in Argentina and Uruguay (Teixeira de Melo et al., 2011; Maiztegui et al., 2016). This is reinforced by the Olmstead-Tukey analysis outcomes, indicating that this fish is frequently found in the study area. In contrast, non-established exotic species can occasionally appear in freshwater RdlP; yet, their presence is mostly due to their escape from aquaculture facilities within the basin (i.e., Acipenser baerii Brandt, 1869, Acipenser gueldenstaedtii Brandt & Ratzeburg, 1833, and Hypophthalmichthys molitrix (Valenciennes, 1844)).
The fish fauna of La Plata River basin is mostly characterized by Siluriformes and Characiformes (Reis, 2013; Reis et al., 2016), and by a decreasing gradient of species richness from the north to the south (Ringuelet, 1975; Cussac et al., 2009). Such ichthygeographical attributes agree with the results obtained in the study area, when the number of species proposed contrasts with environments located in the northern areas of the basin (Teixeira de Melo et al., 2011; Almirón et al., 2015; Bertaco et al., 2016).
Although no statistical differences were found when comparing reported data with samplings, lack of Cyprinodontiformes could result from the small body size (<5 cm) of some taxa of this group common for the area, namely Jenynsia lineata (Fowler, 1940), Cnesterodon decemmaculatus (Jenyns, 1842), and Phalloceros caudimaculatus (Hensel, 1868), not captured with the fishing nets employed. The taxa of Rivulidae family includes species that inhabit coastal temporary ponds (Alonso et al., 2018), environments not sampled in this study. The absence of Myliobatiformes in samplings can be linked to selectivity of fishing gears (Lucifora et al., 2016).
Knowledge of richness and abundance of fish species in a particular area is associated with collecting effort (Bertaco et al., 2016); freshwater RdlP has been sampled for more than five decades by several fishing procedures. Comparison of number of records results with captured/not captured species ratio, clearly evidenced that the more the species were cited in the literature the more they were found in the samplings. Indeed, species with higher values of records, such as P. lineatus (32), S. brasiliensis (14), and Odontesthes bonariensis (Valenciennes, 1835) (14), were linked not only to their occurrence and abundance in the freshwater RdlP, but also due to their importance to local and regional fisheries of the RdlP basin (Baigún et al., 2003; Colautti et al., 2009). Accordingly, these findings provide valuable insights into which species are, historically and at present, usual or unusual fish components of the study area.
The Olmstead-Tukey analysis evidenced, in agreement with the literature for the southern bank of the study area (Llompart et al., 2012; Paracampo et al., 2015, 2020), a predominance of P. valenciennis and P. maculatus. These findings were documentednot only in coastal environments and the neighboring streams of RdlP, but also in deeper environments of the riverine sector of the RdlP (García et al., 2010; CARU-CARP, 2012; 2016). It is important to note that, the target of coastal local artisanal and sport fisheries, P. lineatus, S. brasiliensis, M. obtusidens, Luciopimelodus pati (Valenciennes, 1835),and Pseudoplatystoma corruscans (Spix & Agassiz, 1829) (Baigún et al., 2003; Colautti et al., 2009) were frequent or dominant in the Olmstead-Tukey analyses. Previous research into these species showed that they displayed a seasonal migration circuit between the freshwater RdlP up to the upper main rivers of La Plata basin during southern warm and colder seasons, respectively (Baigún et al., 2003; Espinach Ros et al., 2011; Avigliano, et al., 2020). However, our results would support the hypothesis that certain individuals of these species do not migrate and remain in the area throughout the entire year cycle.
In the Rio de la Plata, detritus is the most important component in the food web of the system (Lercari et al., 2015) and detritivorous species P. lineatus plays a key role in the cycling of nutrients, organic matter, and transferring energy to higher levels (Baigún et al., 2003; Speranza et al., 2013). The CPUEw dominance of P. lineatus, in addition the presence of L. anus and H. commersoni which are strictly detritivorous-alguivorous taxa (Lujan et al., 2012), reinforce the major role of detritus and the mentioned species in the system functioning.
Among the rare species, we can mention Rhaphiodon vulpinus Spix & Agassiz, 1829 and Rhamphichthys hahni (Meinken, 1937) considered, according to Baigún et al., (2012), as “data deficiency” based on information of their population status. In this category, Cynopotamus kincaidi (Schultz, 1950), Hypostomus uruguayensis Reis, Weber & Malabarba, 1990, Hypostomus aspilogaster (Cope, 1894),Galeocharax humeralis (Valenciennes, 1834),and Pterodoras granulosus (Valenciennes, 1821) species were not even considered by those authors as species found in the RdlP.
In view of ecological features of the estuary might generate dissimilarities between the fish assemblage of the southern bank (Argentina) respect to the northern one (Uruguay) (Bessonart et al., 2021), the hierarchy structure proposed could exhibit geographical restrictions. Despite such restrains, significant gaps in freshwater species knowledge (Abell et al., 2008) and data deficiency for neotropical fishes (Baigún et al., 2012), the fish structure reported here represent a base line for future research.
Considering the negative impact experienced by South American basins as a result of the rapid anthropogenic changes introduced during the 21st century (Allan et al., 2005; Barletta et al., 2010; Baigún et al., 2012; Reis et al., 2013), the insights into the composition and structure of the fish assemblages of the freshwater RdlP provided in this study could be used as starting point to monitor and develop criteria for the management and conservation of neotropical fish species in their southernmost distribution boundary.
Acknowledgments
The authors would like to thank Roberto Jensen (ILPLA) for his assistance in data collection and field operations. The research was partially financed by PIP (CONICET, process number 0652), P-UE (22920160100049CO), and PICT 1251. This paper is a Scientific Contribution number 1196, Institute of Limnology “Dr. Raúl A. Ringuelet” (ILPLA, CCT-La Plata CONICET, UNLP).
References
Abell R, Thieme ML, Revenga C, Bryer M, Kottelat M, Bogutskaya N et al. Freshwater ecoregions of the world: a new map of biogeographic units for freshwater biodiversity conservation. Bioscience. 2008; 58(5):403–14. https://doi.org/10.1641/B580507
Aguas Argentinas-Administración General de Obras Sanitarias de la Provincia de Buenos Aires-Servicio de Hidrografía Naval de la Armada Argentina (AA-AGOSBA-OSN-SHN). Río de La Plata. Calidad de las aguas de la franja costera sur (San Isidro – Magdalena). Buenos Aires: Servicio de Hidrografía Naval de la Armada Argentina. 1992.
Allan JD, Abell R, Hogan Z, Revenga C, Taylor BW, Welcomme RL et al. Overfishing in inland waters. Bioscience. 2005; 55(12):1041–51. https://doi.org/10.1641/0006-3568(2005)055[1041:OOIW]2.0.CO;2
Almirón AE. Estudio ictiológicos en ambientes leníticos de los alrededores de La Plata. [PhD Thesis] Facultad de Ciencias Naturales y Museo (UNLP); 1989.
Almirón AE. Presencia de Cyphocharax saladensis (Meinken, 1933) (Pisces, Curimatidae) en ambientes cercanos al Río de la Plata. Neotropica. 1990; 36(95):44.
Almirón AE, García ML. Ictiofauna del arroyo El Pescado. Neotropica. 1992; 38(100):103–04.
Almirón AE, Casciotta JR, Ciotek L, Giorgis P. Guía de los peces del Parque Nacional Pre-Delta. Buenos Aires: Administración de Parque Nacionales; 2015.
Almirón AE, Garcia ML, Menni RC, Protogino LC, Solari LC. Fish ecology of a seasonal lowland stream in temperate South America. Mar Freshw Res. 2000; 51(3):265–74. https://doi.org/10.1071/MF98040
Almirón AE, Gómez SE, Toresani NI. Peces de agua dulce de la provincia de Buenos Aires, Argentina. In: López HL, Tonni EP, editors. Situación ambiental de la Provincia de Buenos Aires. Recursos y Rasgos Naturales en la Evaluación Ambiental. 1992; 2(12):1–29. Available from: https://digital.cic.gba.gob.ar/handle/11746/2302
Alonso F, Terán GE, Calviño P, García I, Cardoso Y, García G. An endangered new species of seasonal killifish of the genus Austrolebias (Cyprinodontiformes: Aplocheiloidei) from the Bermejo River basin in the Western Chacoan Region. PLoS ONE. 2018; 13(5):e0196261. https://doi.org/10.1371/journal.pone.0196261
Amestoy F, Fabiano C. 1992. Distribución espacio-temporal, estructura poblacional y reproducción del armado común, Pterodoras granulosus (Pisces, Doradidae), en el Rio de la Plata médio e interior y en el rio Uruguay inferior. Publ Com Adm Rio Uruguay, Sér Téc-Cient. 1(1):1–12.
Angelescu V, Gneri FS. Adaptaciones del aparato digestivo al régimen alimenticio en algunos peces del río Uruguay y del Río de la Plata. I. Tipo omnívoro e iliófago en representantes de las familias Loricariidae y Anostomidae. Rev Mus Argent Cienc Nat. 1949; 1(6):161–272.
Aquino AE. Las especies de Hypoptomatinae (Pisces, Siluriformes, Loricariidae) en la Argentina. Rev Ictiol. 1997; 5:5–21.
Arthington AH, Naiman RJ, Mcclain ME, Nilsson C. Preserving the biodiversity and ecological services of rivers: new challenges and research opportunities. Freshw Biol. 2010; 55(1):1–16. https://doi.org/10.1111/j.1365-2427.2009.02340.x
Avigliano E, Pouilly M, Bouchez J, Domanico A, Sánchez S, Vegh SL et al. Strontium isotopes (87Sr/86Sr) reveal the life history of freshwater migratory fishes in the La Plata Basin. River Res Appl. 2020; 36(10):1985–2000. https://doi.org/10.1002/rra.3727
Avigliano E, Volpedo AV. Actinopterygii, Atheriniformes, Atherinopsidae, Odontesthes bonariensis Valenciennes, 1835: new records for the Plata Basin, Argentina. Check List. 2013b; 9(3):640–41. https://doi.org/10.15560/9.3.640
Avigliano E, Volpedo AV. Use of otolith strontium: calcium ratio as an indicator of seasonal displacements of the silverside (Odontesthes bonariensis) in a freshwater–marine environment. Mar Freshw Res. 2013a; 64(8):746–51. https://doi.org/10.1071/MF12165
Azpelicueta MM, Almirón AE. Cyphocharax spilotus (Characiformes, Curimatidae) en el río Paraná y afluentes del Río de la Plata. Neotropica. 1991; 37:158–59.
Azpelicueta MM, Almirón AE. A sturgeon (Acipenseridae) in temperate waters of the South Hemisphere, Río de la Plata, Argentina. Biogeographica. 1999; 75(3):129–30.
Azpelicueta MM, Braga L. Los Curimátidos en Argentina. In: Castellanos ZA editor. Fauna de agua dulce de la República Argentina. La Plata: Profadu CONICET; 1991. p.1–55.
Baigún CRM, Sverlij SB, López HL. Recursos pesqueros y pesquerías del Río de la Plata interior y medio (Margen argentina). FREPLATA, PROYECTO PNUD/GEF/RLA 99/G31 [Internet]. Montevideo; 2003. Available from: www.ecopuerto.com/Bicentenario/informes/RecPesqRiodelaPlata.pdf
Baigún CRM, Colautti D, López HL, Van Damme PA, Reis RE. Application of extinction risk and conservation criteria for assessing fish species in the lower La Plata River basin, South America. Aquat Conserv. 2012; 22(2):181–97. https://doi.org/10.1002/aqc.2223
Balay MA. El Río de la Plata entre la atmósfera y el mar. Buenos Aires: Secretaría de Marina – Servicio de Hidrografía Naval. 1961.
Barletta M, Jaureguizar AJ, Baigun C, Fontoura NF, Agostinho AA, Almeida-Val VMF et al. Fish and aquatic habitat conservation in South America: a continental overview with emphasis on neotropical systems. J Fish Biol. 2010; 76(9):2118–76. https://doi.org/10.1111/j.1095-8649.2010.02684.x
Berg C. Contribución al conocimiento de los peces sudamericanos, especialmente de los de la República Argentina. An Mus Nac Buenos Aires. 1897; 5:263–302.
Berg C. Enumeración sistemática y sinonímica de los peces de las costas argentinas y uruguayas. An Mus Nac Buenos Aires. 1895; 4:1–120.
Bertaco VA, Ferrer J, Carvalho FR, Malabarba LR. Inventory of the freshwater fishes from a densely collected area in South America – a case study of the current knowledge of Neotropical fish diversity. Zootaxa. 2016; 4138(3):401–40. https://doi.org/10.11646/zootaxa.4138.3.1
Bessonart J, Loureiro M, Guerrero JC, Szumik C. Distribution of freshwater fish from the Southern Neotropics reveals three new areas of endemism and show diffuse limits among freshwater ecoregions. Neotrop Ichthyol. 2021; 19(4):e200153. https://doi.org/10.1590/1982-0224-2020-0153
Bogan S, Bauni V, Meluso JM, Carini E, Homberg M. Odontesthes humensis de Buen, 1953 (Atheriniformes: Atherinopsidae: Sorgentinini) from the La Plata River, first record from Argentina. Ichthyol Contrib PecesCriollos. 2015; 38:1–05.
Bonetto AA, Pignalberi C, de Yuan EC, Oliveros O. Informaciones complementarias sobre migraciones de peces en la cuenca del Plata. Physis. 1971; 30(81):509–20.
Braga L. Los Anostomidae (Pisces, Characiformes) de Argentina. In: Castellanos ZA, editor. Fauna de agua dulce de la República Argentina. La Plata: Profadu CONICET; 1993. p.5–45.
Braga L. Los Characidae de Argentina de las subfamilias Cynopotaminae y Ancestrorhynchinae. In: Castellanos ZA, editor. Fauna de Agua Dulce de la República Argentina. La Plata: Profadu CONICET; 1994. p.21–29.
Braga L, Azpelicueta MM. Curimata biornata, a new curimatid fish (Characiformes, Curimatidae) from Argentine and southeastern Brazil. Rev Suisse Zool. 1987; 94(2):465–73.
Burmeister HC. Petromyzon macrostomus, descripción de una nueva especie de pez. Actas Soc Paleontol Buenos Aires. 1868; 1:35–37.
Callicó Fortunato R, Tombari A, Volpedo A. Nuevos datos sobre Phalloceros caudimaculatus (Hensel, 1868) (Cyprinodontiformes: Poeciliidae: Poeciliinae). Nótulas Faunísticas. 2010; 57:1-05.
Calviño P, Nadalin DO, Serio MJ, López HL. Colección ictiológica del Museo de La Plata: la familia Rivulidae. ProBiota, Serie Técnica y Didáctica. 2016; 1–23.
Calviño PA. Distribución geográfica de Austrolebias nigripinnis (Regan) (Cyprinodontiformes: Rivulidae) en Argentina, con comentários sobre su variabilidad en el patrón de color. Bol Killi Club Arg BIBKCA. 2007; 12:22–38.
Candia CR. Trabajos de marcación de peces en el Río de la Plata [Internet]. Mar del Plata; 1989. Available from: www.aquadocs.org/handle/1834/19569
Cappelletti N, Speranza E, Tatone L, Astoviza M, Migoya MC, Colombo JC. Bioaccumulation of dioxin-like PCBs and PBDEs by detritus-feeding fish in the Rio de la Plata estuary, Argentina. Environ Sci Pollut Res. 2015; 22(9):7093–100. https://doi.org/10.1007/s11356-014-3935-z
Cardoso YP, Brancolini F, Protogino L, Lizarralde M. Actinopterygii, Siluriformes, Loricariidae, Hypostomus aspilogaster (Cope, 1894). Distribution extension and first record for Argentina. Check List. 2011; 7(5):596–98. https://doi.org/10.15560/7.5.596
Cardoso YP, Brancolini F, Protogino L, Paracampo A, Bogan S, Posadas P et al. An integrated approach clarifies the cryptic diversity in Hypostomus Lacépède 1803 from the Lower La Plata Basin. An Acad Bras Ciênc. 2019; 91(2):e20180131. https://doi.org/10.1590/0001-3765201920180131
Casciotta JR, Almirón AE, Bechara J. Peces del Ibera: Hábitat y Diversidad. Buenos Aires: Grafikar; 2005.
Castello HP. Pseudopimelodus raninus (Valenciennes, 1840) (Pisces, Pimelodidae) una nueva cita para la fauna de peces de la República Argentina. Physis. 1971; 30(80):543–45.
Cataldo D, Boltovskoy D, Marini V, Correa N. Limitantes de Limnoperna fortunei en la cuenca del Plata: la predación por peces [Internet]. Paysandú; 2002. Available from: www.researchgate.net/publication/237700923_Limitantes_de_Limnoperna_fortunei_en_la_cuenca_del_Plata_la_predacion_por_peces
Cirelli AF, Ojeda C. Wastewater management in Greater Buenos Aires, Argentina. Desalination. 2008; 218(1–3):52–61.
Colautti DC. 1997. Ecología de la carpa Cyprinus carpio, en la cuenca del Río Salado, Provincia de Buenos Aires. [PhD Thesis] Facultad de Ciencias Naturales y Museo (UNLP); 1997.
Colautti DC. Sobre la utilización de trampas para peces en las lagunas pampásicas. Rev Ictiol. 1998; 6(1–2):17–23.
Colautti DC, López HL, Nadalin DO. La pesca en el sector costero del Río de la Plata entre Punta Atalaya y Punta Piedras. In: Athor J, editor. Parque Costero del Sur. Buenos Aires: Fundación de Historia Natural Félix de Azara; 2003. p.370–83.
Colautti DC, Miranda L, Gonzalez-Castro M, Villanova V, Strüssmann CA, Mancini M. Evidence of a landlocked reproducing population of the marine pejerrey Odontesthes argentinensis (Actinopterygii; Atherinopsidae). J Fish Biol. 2019; 96(1):202–16. https://doi.org/10.1111/jfb.14207
Colombo JC, Bilos C, Lenicov MR, Colautti D, Landoni P, Brochu C. Detritivorous fish contamination in the Río de la Plata estuary: a critical accumulation pathway in the cycle of anthropogenic compounds. Can J Fish Aquat Sci. 2000; 57(6):1139–50. https://doi.org/10.1139/f00-031
Colombo JC, Cappelletti N, Migoya MC, Speranza E. Bioaccumulation of anthropogenic contaminants by detritivorous fish in the Río de la Plata estuary: 2-Polychlorinated biphenyls. Chemosphere. 2007; 69(8):1253–60. https://doi.org/10.1016/j.chemosphere.2007.05.073
Colombo JC, Cappelletti N, Williamson M, Migoya MC, Speranza E, Sericano J et al. Risk ranking of multiple-POPs in detritivorous fish from the Río de la Plata. Chemosphere. 2011; 83(6):882–89. https://doi.org/10.1016/j.chemosphere.2011.02.084
Comisión Administradora del Río de la Plata – Instituto Nacional de Investigación y Desarrollo Pesquero – Instituto Nacional de Pesca (CARP-INIDEP-INAPE). Informe final del Proyecto de Evaluación de los Recursos Pesqueros del Río de la Plata (Parte I) [Internet]. Mar del Plata; 1990. Available from: aquadocs.org/bitstream/handle/1834/19572/Inf.Tec.AC12.pdf?sequence=1&isAllowed=y.
Comisión Administradora del Río Uruguay (CARU). Publicaciones de la Comisión Administradora del Río Uruguay. [Internet]. Paysandú; 1992. Available from: sedici.unlp.edu.ar/bitstream/handle/10915/67241/Documento_completo__.pdf-PDFA.pdf?sequence=1&isAllowed=y.
Comisión Administradora del Río Uruguay – Comisión Administradora del Río de la Plata (CARU-CARP). Proyecto de evaluación de los recursos ícticos del bajo río Uruguay y Río de la Plata interior. Informe de campañas de invierno 2011 y verano 2012 [Internet]. Paysandú; 2012. Available from: www.caru.org.uy/web/pdfs_publicaciones/INFORME%20FINAL%20%20CARU%20CARP%20DICIEMBRE%202012.pdf.
Comisión Administradora del Río Uruguay – Comisión Administradora del Río de la Plata (CARU-CARP). Proyecto de evaluación de los recursos ícticos del bajo río Uruguay y el Río de la Plata interior. Informe de la campaña de invierno 2016. [Internet]. Paysandú; 2016. Available from: www.magyp.gob.ar/sitio/areas/pesca_continental/informes/proyectos_caru/index.php.
Cuello MV. Análisis poblacional morfométrico y genético, áreas de solapamiento y distribución de los pejerreyes de la Provincia Parano-Platense (Atheriniformes, Atherinopsidae) [PhD Thesis] Facultad de Ciencias Naturales y Museo (UNLP); 2020.
Cussac VE, Fernández DA, Gómez SE, López HL. Fishes of southern South America: a story driven by temperature. Fish Physiol Biochem. 2009; 35(1):29–42. https://doi.org/10.1007/s10695-008-9217-2
Cuvier G, Valenciennes A. Histoire naturelle des poissons. Musée D’histoire Naturelle De Paris. 1850; 1–91.
D’anatro A, González-Bergonzoni I, Vidal N, Tesitore G, Teixeira de Mello F. Confirmation of the occurrence of Odontesthes argentinensis (Valenciennes, 1835) (Atheriniformes, Atherinopsidae) in the Río Uruguay. PANAMJAS. 2020; 15(2):100–05. Available from: https://panamjas.org/pdf_artigos/PANAMJAS_15(2)_100-105.pdf
De Buen F. El Mar de Solís y su fauna de peces (2a. Parte). 1950. SOYP.
Demonte D, Liotta J, Rueda E, CivettiR, Rozzati JC. First record of the Russian sturgeon Acipenser gueldenstaedtii Brandt & Ratzeburg, 1833 (Acipenseriformes: Acipenseridae) from Argentina. Ichthyol Contrib PecesCriollos. 2017; 58:1–05.
Devincenzi GJ. El género Loricaria en la cuenca platense: descripción de una nueva especie Loricaria commersonoides. Com Zool Mus Montevideo. 1943; 1(1):1–06.
Devincenzi GJ, Teague GW. Ictiofauna del río Uruguay medio. An Mus His Nac Montevideo (2ª ser.). 1942. 5(4):1–104.
Dudgeon D, Arthington AH, Gessner MO, Kawabata Z-I, Knowler DJ, Lévêque C et al. Freshwater biodiversity: importance, threats, status and conservation challenges. Biol Rev. 2006; 81(2):163–82. https://doi.org/10.1017/S1464793105006950
Escalante AH. Contribución al conocimiento de las relaciones tróficas de peces de agua dulce del área platense. I. Astyanax eigenmanniorum (Osteichthyes, Tetragonopteridae). Limnobios. 1982; 2(5):311–22.
Escalante AH. Contribución al conocimiento de las relaciones tróficas de peces de agua dulce del área platense. III. Otras especies. Limnobios. 1983; 2(7):453–63.
Escalante AH. Contribución al conocimiento de las relaciones tróficas de peces de agua dulce del área platense. IV. Dos especies de Cichlidae y miscelánea. Limnobios. 1984; 2(8):562–78.
Espinach Ros A, Spinetti M, Foti R, Dománico A, Sverlij S, Márquez A. Evaluación del comportamiento migratorio mediante técnicas de marcación y recaptura (Informe Anual 2009). In: CARU-DINARA-SSPyA: Programa de Conservación de la Fauna Íctica y los Recursos Pesqueros del Río Uruguay. p.158–71
Fabiano G, Amestoy F, García C, Ares L. Estudio de las variaciones en la abundancia, la estructura y la distribución espacio-temporal de los efectivos de carpa común, Cyprinus carpio, en el Río de la Plata medio e interior y en el Río Uruguay inferior. CARU, Sér Téc-Cient. 1992; 1:13–24
Ferriz R, Villar C, Colautti D, Bonetto C. Alimentación de Pterodoras granulosus (Valenciennes) (Pisces, Doradidae) en la baja cuenca del Plata. Rev Mus Argent Cienc Nat. 2000; 2(2):151–56. Available from: http://revista.macn.gov.ar/ojs/index.php/RevMus/article/view/151/142
Fowler HW. Notes and descriptions of new or little known fishes from Uruguay. Proc Acad Nat Sci. 1943; 95:311–34.
Fricke R, Eschmeyer WN, Van der Laan R. Eschmeyer’s catalog of fishes: genera, species, references [Internet]. San Francisco: California Academy of Science; 2022. Available from: http://researcharchive.calacademy.org/research/ichthyology/catalog/fishcatmain.asp.
Fuster DRF. Revisão taxonômica de Heptapterus mustelinus (Valenciennes, 1835) (Siluriformes: Heptapteridae). [PhD Thesis]. Porto Alegre: Universidade Federal do Rio Grande do Sul; 2017. Available from: https://lume.ufrgs.br/handle/10183/170110
García ML, Jaureguizar AJ, Protogino LC. From fresh water to the slope: fish community ecology in the Río de la Plata and the sea beyond. Lat Am J Aquat Res. 2010; 38(1):81–94. https://doi.org/10.3856/vol38-issue1-fulltext-8
García ML, Protogino LC. Invasive freshwater molluscs are consumed by native fishes in South America. J Appl Ichthyol. 2005; 21(1):34–38. https://doi.org/10.1111/j.1439-0426.2004.00570.x
García ML, Solari LC, García de Souza JR. Feeding ecology of the siluriform Pimelodella laticeps Eigenmann, 1917 in a Pampean stream from Argentina. Rev Mus Argent Cienc Nat. 2017; 19(2):211–223. Available from: http://sedici.unlp.edu.ar/bitstream/handle/10915/87588/Documento_completo.19.519.pdf?sequence=1&isAllowed=y
García Romero N, Azpelicueta M, Almirón A, Casciotta J. Hypophthalmichthys molitrix (Cypriniformes: Cyprinidae). Other exotic cyprinid in the Río de la Plata. Biogeographica. 1998; 74(4):189–91.
Green MJB, How R, Padmalal UKGK, Dissanayake SRB. The importance of monitoring biological diversity and its application in Sri Lanka. Trop Ecol. 2009; 50(1):41–56. Available from: https://citeseerx.ist.psu.edu/viewdoc/download?doi=10.1.1.513.3914&rep=rep1&type=pdf
Guerrero EL, Agnolin FL, Grilli P, Suazo Lara FS, Boné E, Tenorio AB et al. Inventario de la fauna transportada por balsas de vegetación flotante en el Sistema fluvial del Río de La Plata. Rev Mus Argent Cienc Nat. 2017; 19(2):177–83. Available from: http://www.scielo.org.ar/scielo.php?script=sci_arttext&pid=S1853-04002017000200007
Guerrero RA, Acha EM, Framiñan MB, Lasta CA. Physical oceanography of the Río de la Plata Estuary, Argentina. Cont Shelf Res. 1997; 17(7):727–42.
Günther A. A contribution to the knowledge of the fish fauna of the Rio de la Plata. Ann Mag Nat Hist. 1880; (5)6:7–13.
Gutiérrez PA, Martorelli SR. The structure of the monogenean community on the gills of Pimelodus maculatus in Río de la Plata (Argentina). Parasitology. 1999; 119(2):177–82. https://doi.org/10.1017/S0031182099004606
Haseman JD. Description of some new species of fishes and miscellaneous notes on others obtained during the expedition of the Carnegie Museum to central South America. An Carnegie Mus. 1911; 7(3–4):315–28.
Ihering RV. Cyprinodontes brasileiros (Peixes – guarús). Systematica e morfologia biologica. Archvs Inst Biol. 1931; 4:243–80.
Jaureguizar AJ, Cortés F, Milessi AC, Cozzolino E, Allega L. A trans-ecosystem fishery: environmental effects on the small-scale gillnet fishery along the Río de la Plata boundary. Estuarine, Coastal Shelf Sci. 2015; 166:92–104. https://doi.org/10.1016/j.ecss.2014.11.003
Jégu M. Subfamily Serrasalminae. In: Reis RE, Kullander SO, Ferraris Jr. CJ, editors. Check list of the freshwater of South and Central America. Porto Alegre: Edipucrs. 2003. p.182–96.
Koerber S, Litz TO. On the erroneous records of Poecilia vivipara from Argentina. Ichthyol Contrib PecesCriollos. 2014; 33:1–04.
Koerber S, Litz TO, Mirande JM. CLOFFAR-update 3-supplement to Checklist of the Freshwater Fishes of Argentina. Ichthyol Contrib PecesCriollos. 2016a; 28:1–10.
Koerber S, Litz TO, Serra WS. CLOFFUY-update 2- supplement to Checklist of the Freshwater Fishes of Uruguay. Ichthyol Contrib PecesCriollos. 2016b; 41:1–8.
Koerber S, Litz TO, Serra WS. CLOFFUY-update 3- supplement to Checklist of the Freshwater Fishes of Uruguay. Ichthyol Contrib PecesCriollos. 2020; 68:1–10.
Koerber S, Litz TO, Serra WS. CLOFFUY-update 4- supplement to Checklist of the Freshwater Fishes of Uruguay. Ichthyol Contrib PecesCriollos. 2021; 78:1–11.
Kumar AB. Exotic fishes and freshwater fish diversity. Zoos Print J. 2000; 15(11):363–67.
Kurucz A, Masello A, Méndez S, Cranston R, Wells PG. Calidad ambiental del Río de la Plata. In: Wells PG, Daborn GR, editors. El Río de la Plata. Una Revisión Ambiental. Un informe de Antecedentes del Proyecto EcoPlata. Halifax: Dalhoousie University; 1998. p.71–86.
Lahille F. Enumeración de los peces cartilaginosos (Plectognatos y Gymnótidos) encontrados en las aguas argentinas. Minist Agric Ganad. 1921; 1–41.
Lahille F. Faunas locales argentinas. I. Lista de los pescados recogidos en los alrededores de La Plata (Prov. de Buenos Aires) durante el año 1894, y conservados en las colecciones del Museo de La Plata. Rev Mus La Plata. 1895; 6:265–74.
Lahille F. Los peces argentinos del grupo de los Esociformes. Rev Fac Agr Vet. 1923; 4:161–95.
Lahille F. Morenitas y ratonas. Rev Jard Zool. 1910; 6(22):3.
Lercari D, Horta S, Martínez G, Calliari D, Bergamino L. A food web analysis of the Río de la Plata estuary and adjacent shelf ecosystem: trophic structure, biomass flows, and the role of fisheries. Hydrobiologia. 2015; 742:39–58. https://doi.org/10.1007/s10750-014-1964-8
Liermann CR, Nilsson C, Robertson J, Ng RY. Implications of dam obstruction for global freshwater fish diversity. BioScience. 2012; 62(6):539–48. https://doi.org/10.1525/bio.2012.62.6.5
Liotta J. Geographical distribution database of freshwater fishes from Argentina. Freshw Metadat J. 2020; 47:1–05. https://doi.org/10.15504/fmj.2020.47
Liotta J, Giacosa B. Esturiones en la cuenca del Plata. Registros del periodo 1998-2016. [Internet]. Corrientes: Libro de resúmenes del V Simposio Argentino de Ictiología; 2017. Available from: www.researchgate.net/publication/320705857_Esturiones_en_la_cuenca_del_Plata_Registros_del_periodo_1998-2016.
Litz TO, Koerber S. Check list of the freshwater fishes of Uruguay (CLOFF-UY). Ichthyol Contrib PecesCriollos. 2014; 28:1–40.
Llamazares Vegh S, Villatarco Vázquez AP, Kunert MC, Tombari AD. Diversidad de vertebrados acuáticos de tres humedales urbanos de la ciudad de Buenos Aires. Biol Acuática. 2012; 27:149–61. Available from: https://revistas.unlp.edu.ar/bacuatica/article/view/6637/6362
Llompart F, Paracampo A, Solimano P, García I. Peces de la Reserva Natural Punta Lara. In: Roesler I, Agostini MG, editors. Inventario de los Vertebrados de la Reserva Natural Punta Lara, provincia de Buenos Aires, Argentina. Buenos Aires: Aves Argentinas; 2012. 57–70.
Lombardi PE, Peri SI, Guerrero NRV. Trace metal levels in Prochilodus lineatus collected from the La Plata River, Argentina. Environ Monit Assess. 2010a; 160(1):47–59. https://doi.org/10.1007/s10661-008-0656-0
Lombardi PE, Peri SI, Guerrero NRV. ALA-D and ALA-D reactivated as biomarkers of lead contamination in the fish Prochilodus lineatus. Ecotoxicol Environ Saf. 2010b; 73(7):1704–11. https://doi.org/10.1016/j.ecoenv.2010.06.005
López HL, Arámburu RH, Miquelarena AM, Menni RC. Nuevas localidades para peces de agua dulce de la República Argentina. I. Limnobios. 1980; 1(10):437–46.
López HL, Menni RC, Donato M, Miquelarena AM. Biogeographical revision of Argentina (Andean and Neotropical Regions): an analysis using freshwater fishes. J Biogeogr. 2008; 35(9):1564–79. https://doi.org/10.1111/j.1365-2699.2008.01904.x
López HL, Menni RC, Miquelarena AM. Lista de los peces de agua dulce de la Argentina. Biol Acuática. 1987; 12:1–50. Available from: https://revistas.unlp.edu.ar/bacuatica/article/view/6603/5616
López HL, Miquelarena AM. Peces loricáridos de la cuenca del Plata, Argentina. I: El género Cochliodon Heckel, 1854 (Pisces: Siluriformes). Gayana Zoo. 1991; 55:3–11.
López HL, Miquelarena AM. Los Hypostominae (Pisces: Loricariidae) de Argentina. Fauna de Agua Dulce de la República Argentina. 1991; 40(2):1–64.
López HL, Miquelarena AM, Menni RC, Casciotta JR. Nuevas localidades para peces de agua dulce de la República Argentina. V. Rev Mus La Plata. 1984; 4(9):81–90. Available from: www.digital.cic.gba.gob.ar/handle/11746/3886
López HL, Miquelarena AM, Menni RC. Lista comentada de los peces continentales de la Argentina. La Plata: ProBiota, Serie Técnica y Didáctica. 2003; 5:1–86. Available from: http://sedici.unlp.edu.ar/bitstream/handle/10915/15875/Revista_completa.pdf?sequence=1&isAllowed=y
López HL, Morgan CC, Montenegro MJ. Ichthyological ecoregions of Argentina. Probiota, Sér Docs. 2002; (1):1–68.
López HL, Protogino LC, Mantinian JE. Ictiofauna de los arroyos de la Reserva de Biosfera Parque Costero del Sur. In: Athor J, editor. Parque Costero del Sur – Naturaleza, conservación y patrimonio cultural. Buenos Aires: Fundación de Historia Natural Félix de Azara; 2009; p.262–73.
López RB. Viejas del Río de la Plata (Pisces, Loricariinae). Rev Mus Argent Cienc Nat. 1970; 10:113–29.
López RB, Castello HP. Eigenmannia trilineata, nueva especie hallada en el Río de la Plata. Com Mus Argent Cienc Nat. 1966; 4(2):7–12.
Lucena CAS. Revisão taxonômica das espécies do gênero Roeboides grupo-affinis (Ostariophysi, Characiformes, Characidae). Iheringia, Sér Zool. 2007; 97(2):117–36. https://doi.org/10.1590/S0073-47212007000200001
Lucifora LO, Barbini SA, Vegh SL, Scarabotti PA, Vargas F, Solari A et al. Geographic distribution of the short-tailed river stingray (Potamotrygon brachyura): assessing habitat loss and fishing as threats to the world’s largest obligate freshwater elasmobranch. Mar Freshw Res. 2016; 67:1463–78. https://doi.org/10.1071/MF15003
Lujan NK, Winemiller KO, Armbruster JW. Trophic diversity in the evolution and community assembly of loricariid catfishes. BMC Evol Biol. 2012; 12(124):1–13. https://doi.org/10.1186/1471-2148-12-124
Lunaschi LI. Prosorhynchoides rioplatensis [Szidat, 1970] comb. nov.[Digenea, Bucephalidae] from Catathyridium jenynsii [Gunther, 1862][Pleuronectiformes, Achiridae] in Argentina. Acta Parasitol. 2003; 48(2):83–86.
Mac Donagh EJ. Pesca de una “carpa de espejuelos. Not Mus La Plata. 1945; (82):11–16.
Mac Donagh EJ, Cabrera SE. Estado de nuestros conocimientos sobre las especies del género Trachycorystes (Siluroideos) en la cuenca del Plata. Obra Cinc Mus La Plata. 1937; 2:573.
Maiztegui T, Baigún CRM, Garcia de Souza JR, Minotti P, Colautti DC. Invasion status of the common carp Cyprinus carpio in inland waters of Argentina. J Fish Biol. 2016; 89(1):417–30. https://doi.org/10.1111/jfb.13014
Marelli CA. Elenco sistemático de la fauna de la provincial de Buenos Aires (Procordados y Vertebrados). Mem Minist Obras Publ. 1922-1923. 1924; 536–682.
Menezes NA, Oliveira C, Nirchio C. An old dilemma: the identity of the western south Atlantic lebranche mullet (Teleostei: Perciformes: Mugilidae). Zootaxa. 2010; 2519(1):59–68. https://doi.org/10.11646/zootaxa.2519.1.4
Messner E. Lista de los peces Tetragonopterinae (fam. Characidae) del Uruguay. Bol Assoc Lat Amer Ictiol Herpetol. 1962; 2(1):4–05.
Miquelarena AM, Arámburu RH, Menni RC, López HL. Nuevas localidades para peces de agua dulce de la República Argentina. II. Limnobios. 1981; 2(2):127–35.
Miquelarena AM, López HL. Hyphessobrycon togoi, a new species from the La Plata basin (Teleostei: Characidae) and comments about the distribution of the genus in Argentina. Rev Suisse Zool. 2006; 113(4):817–28.
Miquelarena AM, Menni RC. Astyanax tumbayaensis, a new species from northwestern Argentina highlands (Characiformes: Characidae) with a key to the Argentinean species of the genus and comments on their distribution. Rev Suisse Zool. 2005; 112:661–76.
Miquelarena AM, Mantinian JE, López HL. Peces de la Mesopotamia Argentina (Characiformes: Characidae: Cheirodontinae). INSUGEO Miscelánea. 2008; 17:51–90.
Mirande JM, Koerber S. Checklist of the Freshwater Fishes of Argentina (CLOFFAR). Ichthyol Contrib PecesCriollos. 2015; 36:1–68.
Mirande JM, Koerber S. Checklist of the Freshwater Fishes of Argentina (CLOFFAR). Ichthyol Contrib Peces Criollos. 2020; 72:1–08.
Morrison ML, Block WM, Strickland MD, Collier BA, Peterson MJ. Inventory and monitoring studies. In: Morrison ML, Block WM, Strickland MD, Collier BA, Peterson MJ, editors. Wildlife Study Design. New York: Springer-Verlag; 2008. p.267–312.
Myers GS. 1942. Studies on South American fresh-water fishes. I. Stanford Ichthyol Bull. 1942; 2(4):89–114.
Natale OE. Water quality indicators for the La Plata River basin. [Internet]. UNEP, FAO, EUROSTAT, OECD. Vienna: International Work Session on Water Statistics Umweltbundesamt; 2005. Available from: www.unstats.un.org/unsd/ENVIRONMENT/envpdf/pap_wasess5a3laplatariver.pdf.
Nelson JS, Grande TC, Wilson MV. Fishes of the World. New Jersy: John Wiley & Sons; 2016.
Nijssen H, Isbrücker IJH. A review of the genus Corydoras Lacépède, 1803 (Pisces, Siluriformes, Callichthydae). Bijdragen tot de Dierkunde. 1980; 50(1):190–220.
Nion H. Peces del Río de la Plata y algunos aspectos de su ecología. In: Wells PG, Daborn GR, editors. El Río de la Plata. Una Revisión Ambiental. Un informe de Antecedentes del Proyecto EcoPlata. Halifax: Dalhoousie University; 1998. p.169–90.
Norman JR. The South American Characid fishes of the subfamily Serrasalmoninae with a revision of the genus Serrasalmus Lácèpede. Proc Zool Soc London. 1929; 4:781–829.
Paracampo A. Toxicidad de pesticidas, ensambles de peces y su relación con las características limnológicas en arroyos Pampeanos. [PhD Thesis]. La Plata: Facultad de Ciencias Naturales y Museo (UNLP); 2013. Available from: http://sedici.unlp.edu.ar/bitstream/handle/10915/31476/Documento_completo.pdf?sequence=5
Paracampo A, García I, Mugni H, Marrochi N, Carriquiriborde P, Bonetto C. Fish assemblage of a Pampasic stream (Buenos Aires, Argentina): temporal variations and relationships with environmental variables. Stud Neotrop Fauna Environ. 2015; 50(3):145–53. https://doi.org/10.1080/01650521.2015.1065658
Paracampo A, Marrochi N, García I, Maiztegui T, Carriquiriborde P, Bonetto C et al. Fish assemblages of Pampean streams (Buenos Aires, Argentina): relationships with abiotic and anthropogenic variables. An Acad Bras Ciênc. 2020; 92(2):e20190476. https://doi.org/10.1590/0001-3765202020190476
Pasquini AI, Depetris PJ. Discharge trends and flow dynamics of South American rivers draining the southern Atlantic seaboard: an overview. J Hydrol. 2007; 333(2–4):385–99. https://doi.org/10.1016/j.jhydrol.2006.09.005
Pelicice FM, Bialetzki A, Camelier P, Carvalho FR, García-Berthou E, Pompeu PS et al. Human impacts and the loss of Neotropical freshwater fish diversity. Neotrop Ichthyol. 2021; 19(3):e210134. https://doi.org/10.1590/1982-0224-2021-0134
Penchaszadeh PE, Darrigran G, Angulo C, Averbuj A, Brogger M, Dogliotti A et al. Predation of the invasive freshwater mussel Limnoperna fortunei (Dunker, 1857) (Mytilidae) by the fish Leporinus obtusidens Valenciennes, 1846 (Anostomidae) in the Rio de la Plata, Argentina. J Shellfish Res. 2000; 19(1):229–32.
Pereyra S, García G. Patterns of genetic differentiation in the Gymnogeophagus gymnogenys species complex, a neotropical cichlid from South American basins. Environ Biol Fish. 2008; 83:245–57. https://doi.org/10.1007/s10641-008-9329-7
Perugia A. Appunti sopra alcuni pesci Sud – americani conservati nel Museo Civico di Storia Naturale di Genova. An Mus Civ Stor Nat Genova. 1891; 10:605–57.
Pozzi AJ. Sistemática y distribución de los peces de agua dulce de la República Argentina. Gaea. 1945; 7:239–92.
Pozzi AJ, Bordalé LF. Las especies argentinas de la subfamilia Gasteropelecinae. An Mus Argent Cienc Nat. 1936; 38:423–39.
Proyecto Protección Ambiental del Río de la Plata y su Frente Marítimo (FREPLATA) 2004. Análisis Diagnóstico Transfronterizo del Río de la Plata y su Frente Marítimo” Proyecto PNUD/GEF/RLA/99/G31 [Internet]. Montevideo; 2005. Available from: www.gub.uy/ministerio-ambiente/politicas-y-gestion/proyecto-freplata
Quirós R. The Parana River Basin development and the changes in the lower basin fisheries. Interciencia. 1990; 15(6):442–51.
Reis RE. Conserving the freshwater fishes of South America. Int Zoo Yearb; 2013. 47(1):65–70. https://doi.org/10.1111/izy.12000
Reis RE, Albert JS, Di Dario F, Mincarone MM, Petry P, Rocha LA. Fish biodiversity and conservation in South America. J F Biol. 2016; 89(1):12–47. https://doi.org/10.1111/jfb.13016
Remes Lenicov M, Colautti DC, López HL. Ictiofauna de un ambiente lótico suburbano: el arroyo Rodríguez (Buenos Aires, Argentina). Biol Acuát. 2005. 22:231–37.
Remes Lenicov M, Colautti DC. Estudio ictiológico del puerto de la Ciudad de Buenos Aires. En: Biodiversidad en la franja costera sur del Río de la Plata. Fitoplancton, zoobentos, peces de la zona portuaria de la Ciudad de Buenos Aires. Biol Acuát. 2000; 20:65–75.
Ringuelet RA. Zoogeografía y ecología de los peces de aguas continentales de la Argentina y consideraciones sobre las áreas ictiológicas de América del Sur. Ecosur, 2; 1975. Available from: http://sedici.unlp.edu.ar/handle/10915/48003
Ringuelet RA, Arámburu R. Enumeración sistemática de los vertebrados de la provincia de Buenos Aires. Minist Asunt Agrar. 1957; 119:1–94.
Ringuelet RA, Arámburu RH, Alonso de Arámburu AS. Los peces argentinos de agua dulce. Buenos Aires: Comisión de Investigaciones Científicas. 1967.
Ringuelet RA, Miquelarena AM, Menni RC. Presencia en los alrededores de La Plata de Characidium (Jobertina) rachowi y de Hyphessobrycon meridionalis (sp. nov.) (Osteichthyes, Tetragonopteridae). Limnobios. 1978; 1(7):242–57.
Rodríguez MS. Sistemática y distribución geográfica de peces de la familia Loricariidae (Ostariophysi: Siluriformes) de la Argentina, con especial referencia a la tribu Loricariini. [PhD Thesis]. La Plata: Facultad de Ciencias Naturales y Museo (UNLP); 2003.
Rojo M, Cristos D, González P, López-Aca V, Dománico A, Carriquiriborde P. Accumulation of human pharmaceuticals and activity of biotransformation enzymes in fish from two areas of the lower Rio de la Plata Basin. Chemosphere. 2021; 266:129012. https://doi.org/10.1016/j.chemosphere.2020.129012
Rosso JJ, Gonzalez-Castro M, Bogan S, Cardoso YP, Mabragana E, Delpiani M et al. Integrative taxonomy reveals a new species of the Hoplias malabaricus species complex (Teleostei: Erythrinidae). Ichthyol Explor Freshw. 2018; 28:235–52.
Roule L. Notice biographique sur Alcide Dessalines d’Orbigny. Commémoration du voyage d’Alcide d’Orbigny en Amérique du Sud. Publ Mus Nat Hist Paris. 1826; 7–13.
Sabaj MH. Family Doradidae. In: Reis RE, Kullander SO, Ferraris Jr. CJ, editors. Check list of the freshwater of South and Central America. Porto Alegre: Edipucrs. 2003. p.456–69.
Sala OE, Chapin FS, Armesto JJ, Berlow E, Bloomfield J, Dirzo R et al. Global biodiversity scenarios for the year 2100. Science. 2000; 287:1770–74. https://doi.org/10.1126/science.287.5459.1770
Scarabotti PA, Lucifora LO, Espínola LA, Rabuffetti AP, Liotta J, Mantinian JE et al. Long-term trends of fishery landings and target fish populations in the lower La Plata basin. Neotrop Ichthyol. 2021; 19(3):e210013. https://doi.org/10.1590/1982-0224-2021-0013
Schaefer SA. The neotropical cascudinhos: systematics and biogeography of the Otocinclus catfishes (Siluriformes, Loricariidae). Proc Acad Nat Sci. 1997; 148:1–120. https://www.jstor.org/stable/4065046
Simionato CG, Meccia VL, Guerrero RA, Dragani WC, Nuñez MN. The Río de la Plata estuary response to wind variability in synoptic to intra-seasonal scales: 2. Currents’ vertical structure y its implications for the salt wedge structure. J Geophys Res. 2007; 10. https://doi:10.1029/2006JC003815
Sokal RR, Rohlf FJ. Taxonomic congruence in the Leptopodomorpha re-examined. Sys Zool. 1981; 30(3):309–25. https://doi.org/10.2307/2413252
Speranza ED, Cappelletti N, Migoya MC, Tatone LM, Colombo JC. Migratory behaviour of a dominant detritivorous fish Prochilodus lineatus evaluated by multivariate biochemical and pollutant data. J Fish Biol. 2012; 81(2):848–65. https://doi.org/10.1111/j.1095-8649.2012.03358.x
Speranza ED, Colombo JC. Biochemical composition of a dominant detritivorous fish Prochilodus lineatus along pollution gradients in the Paraná‐Río de la Plata Basin. J Fish Biol. 2009; 74(6):1226–44. https://doi.org/10.1111/j.1095-8649.2009.02191.x
Speranza ED, Colombo M, Heguilor S, Tatone LM, Colombo JC. Alterations in the sterol signature of detritivorous fish along pollution gradients in the Río de la Plata basin (Argentina): From plant to sewage-based diet. Environ Res. 2020; 184:109351. https://doi.org/10.1016/j.envres.2020.109351
Speranza ED, Colombo M, Tatone LM, Cappelletti N, Migoya MC, Colombo JC. Fatty acid alterations in the detritivorous Prochilodus lineatus promoted by opportunistic feeding on sewage discharges in the Río de la Plata estuary. J Fish Biol. 2016; 89(4):2024–37. https://doi.org/10.1111/jfb.13104
Speranza ED, Tatone LM, Cappelletti N, Colombo JC. Cost-benefit of feeding on anthropogenic organic matter: lipid changes in a detritivorous fish (2013). Ichthyol Res. 2013; 60:334–42. https://doi.org/10.1007/s10228-013-0355-x
Steindachner F. Beiträge zur Kenntnis der Flussfische Südamerikas, III. Denks Akad Wiss Wien. 1881; 44(1):1–18.
Steindachner F. Ueber eine noch unbekannte Art der Gattung Bergiella Eig. Aus dem La Plata. Anz Akad Wiss Wien. 1908; 45(8):110–13.
Stiassny MLJ. Revision of Sauvagella bertin (Clupeidae; Pellonulinae; Ehiravini) with a description of a new species from the freshwaters of Madagascar and diagnosis of the Ehiravini. Copeia. 2002; 2002(1):67–76. https://www.jstor.org/stable/1447925
Stigchel JWB. The South American Nematognathi of the Museums at Leyden and Ámsterdam. Zool Med. 1947; 27:1–204.
Sverlij SB, Espinach Ros A. El dorado, Salminus maxillosus (Pisces, Characiformes) en el Río de la Plata y Río Uruguay inferior [Internet] Mar del Plata; 1986. Available from: www.marabierto.inidep.edu.ar/xmlui/handle/inidep/235
Tedesco PA, Beauchard O, Bigorne R, Blanchet S, Buisson L, Conti L et al. A global database on freshwater fish species occurrence in drainage basins. Sci Data. 2017: 4:170141. https://doi.org/10.1038/sdata.2017.141
Teixeira de Mello F, González-Bergonzoni I, Loureiro M. Peces de agua dulce del Uruguay. Uruguay: PPR-MGAP. 2011.
Topalián M, Loez CR, Salibian A. Metales pesados en el río Reconquista (Buenos Aires): resultados preliminares. Acta bioquím clín latinoam. 1990; 24(2):171–76.
Valdés ME, Marino DJ, Wunderlin DA, Somoza GM, Ronco AE, Carriquiriborde P. Screening concentration of E1, E2 and EE2 in sewage effluents and surface waters of the “Pampas” region and the “Río de la Plata” estuary (Argentina). Bull Environ Contam Toxicol. 2015; 94(1):29–33. https://doi.org/10.1007/s00128-014-1417-0
Valencia E, Veliz D, Tombari A, Vega-Retter C. Genetic population structure and evidence of genetic homogeneity in populations of the Argentinian silverside Odontesthes bonariensis (Teleostei: Atherinopsidae) inhabiting central and northwestern Argentina. Lat Am J Aquat Res. 2017; 45(4):708–16. Available from: https://www.scielo.cl/scielo.php?pid=S0718-560X2017000400708&script=sci_arttext
Vergara J, Azpelicueta MM, Garcia G. Phylogeography of the Neotropical catfish Pimelodus albicans (Siluriformes: Pimelodidae) from río de la Plata basin, South America, and conservation remarks. Neotrop Ichthyol. 2008; 6(1):75–85. https://doi.org/10.1590/S1679-62252008000100009
Villanova GV, Vera M, Brancolini F, Díaz J, Martinez P, Arranz SE. Species assignment and population genetic studies of Gran Paraná pejerrey (Odontesthes sp., Atheriniformes, Atherinopsidae) from La Plata Basin in South America. Hydrobiologia. 2018; 819:243–57. https://doi.org/10.1007/s10750-018-3643-7
Villar C, Stripeikis J, Colautti D, D’huicque L, Tudino M, Bonetto C. Metals contents in two fishes of different feeding behaviour in the Lower Paraná River and Río de la Plata Estuary. Hydrobiologia. 2001; 457:225–33. https://doi.org/10.1023/A:1012285820526
Vitule JRS, Costa APL, Frehse FA, Bezerra LAV, Occhi TVT, Daga VS et al. Comment on ‘Fish biodiversity and conservation in South America by Reis et al. (2016)’. J Fish Biol. 2016; 90(4):1182–90. https://doi.org/10.1111/jfb.13239
Volpedo AV, Fuchs DV. Ecomorphological patterns of the lapilli of Paranoplatense Siluriforms (South America). Fish Res. 2010; 102(1–2):160–65. https://doi.org/10.1016/j.fishres.2009.11.007
Volpedo AV, Tombari AD, Cirelli AF. La biodiversidad de peces del río de La Plata y su relación con los cambios ambientales en los últimos 40 años. In: Reyes LF, Volpedo AV, Carrera AP, editors. Estrategias integradas de mitigacion y adaptacion a cambios globales; 2010. p.243–48.
Wells PG, Daborn GR. El Río de la Plata. Una revisión ambiental. Un informe de antecedentes del Proyecto EcoPlata. Nova Scotia: Halifax: Dalhoousie University; 1998.
Yorojo Moreno V, García I, Maroñas ME, Colautti DC. Hábitos alimentarios de Gymnogeophagus meridionalis (Osteichthyes, Cichlidae) en un arroyo urbano. Rev Mus Argent Cienc Nat. 2017; 19(2):93–100.
Authors
Tomás Maiztegui1,2
,
Ariel Hernán Paracampo2,
Jorge Liotta3,
Eva Cabanellas2,
Carlos Bonetto2 and
Darío César Colautti2
[1] Comisión de Investigaciones Científicas de la provincia de Buenos Aires (CIC), La Plata, Buenos Aires, Argentina. (TM) maiztegui@ilpla.edu.ar (corresponding author).
[2] Instituto de Limnología Dr. R. Ringuelet, CONICET, Universidad Nacional de La Plata (ILPLA), Boulevard 120 y 62, CP 1900 –CC712, La Plata, Buenos Aires, Argentina. (AHP) arielp@ilpla.edu.ar, (EC) evacabanellas.89@gmail.com, (CB) bonetto@ilpla.edu.ar, (DC) colautti@ilpla.edu.ar.
[3] Museo de Ciencias Naturales “P. A. Scasso”, San Nicolás, Buenos Aires. Dirección de Pesca Continental, Ministerio deAgroindustria, C1107AQA Ciudad Autónoma de Buenos Aires, Buenos Aires, Argentina. (JL) jorgerliotta@gmail.com.
Authors’ Contribution 

Tomás Maiztegui: Conceptualization, Data curation, Formal analysis, Funding acquisition, Investigation, Methodology, Project administration, Resources, Writing-original draft, Writing-review and editing.
Ariel Hernán Paracampo: Conceptualization, Data curation, Formal analysis, Investigation, Methodology, Validation, Visualization, Writing-original draft, Writing-review and editing.
Jorge Liotta: Data curation, Methodology, Supervision, Validation.
Eva Cabanellas: Methodology, Writing-original draft.
Carlos Bonetto: Writing-review and editing.
Darío César Colautti: Conceptualization, Data curation, Formal analysis, Investigation, Methodology, Writing-original draft, Writing-review and editing.
Ethical Statement
Care during collection and handling of fish for this study complied with the Buenos Aires Province (Argentina) Wildlife and Fisheries Authority guidelines and policies (Law 11,477).
Competing Interests
How to cite this article
Maiztegui T, Paracampo AH, Liotta J, Cabanellas E, Bonetto C, Colautti DC. Freshwater fishes of the Río de la Plata: current assemblage structure. Neotrop Ichthyol. 2022; 20(3):e210159. https://doi.org/10.1590/1982-0224-2021-0159
Copyright
This is an open access article under the terms of the Creative Commons Attribution License, which permits use, distribution and reproduction in any medium, provided the original work is properly cited.
Distributed under
Creative Commons CC-BY 4.0

© 2022 The Authors.
Diversity and Distributions Published by SBI
Accepted July 12, 2022 by Franco Teixeira de Mello
Submitted November 11, 2021
Epub October 14, 2022





